题目内容

 点电荷A和B,分别带正电和负电,电量分别为4Q和Q,在AB连线上,如图所示,电场强度为零的地方在 (   )

A.A和B之间

B.A右侧

C.B左侧

D.A的右侧及B的左侧

 

【答案】

C

【解析】

试题分析:正电荷的电场有正电荷指向无穷远,负电荷的电场有无穷远指向正电荷。AB的电场方向如图

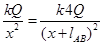
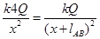
在AB中间两个电场方向相同,复合场电场强度不可能等于0答案A错。设A点右侧距离A为X处场强等于0则有,方程无解,答案BD错。若在B点左侧距离B为X则有解得答案C正确。

考点:电场的叠加

 

练习册系列答案
相关题目

违法和不良信息举报电话:027-86699610 举报邮箱:58377363@163.com

精英家教网