题目内容
某同学将一直流电源的总功率PE、输出功率PR和电源内部的发热功率Pr随电流I变化的图线画在了同一坐标上,如右图中的a、b、c所示,根据图线可知( )
![]()
A.反映Pr变化的图线是c
B.电源电动势为8V
C.电源内阻为2Ω
D.当电流为0.5A时,外电路的电阻为6Ω
【答案】
ACD
【解析】
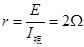
试题分析:电源内部的发热功率
,A对;b是输出功率PR随电流I变化的图线,a是电源的总功率PE随电流I变化的图线,短路电流是2A,此时电源的总功率PE是8W,所以可求得电源电动势是
,内阻是
,B错C对;当电流为0.5A时,外电路的电阻
,D正确。
考点:电源的电动势和内阻、闭合电路的欧姆定律、电功率、焦耳定律。
练习册系列答案
相关题目
| A、直线a表示电源的总功率PE-I图线 | B、曲线c表示电源的输出功率PR-I图线 | C、电源的电动势E=3V,内电阻r=1Ω | D、电源的最大输出功率Pm=2W |