题目内容
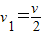
汽车由静止开始做匀加速直线运动,速度达到v的过程中的平均速度为v1,若汽车由静止开始以额定功率行驶,速度达到v的过程中的平均速度为v2,且两次历时相同,则( )A.v1>v2
B.v1<v2
C.v1=v2
D.条件不足,无法判断
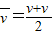
【答案】分析:匀变速直线运动中:
;
恒定功率启动是变加速运动,平均速度:
.
解答:解:汽车由静止开始做匀加速直线运动,速度达到v的过程中的平均速度为v1,
;
汽车由静止开始以额定功率行驶,根据P=Fv,速度不断变大,牵引力不断减小;
根据牛顿第二定律,有:F-f=ma,故a=
,故加速度不断减小;
作v-t图象,如图①所示,图线②表示匀加速直线运动;

v-t图象中,图象与时间轴包围的面积表示位移,故图线①表示的位移大于图形②对应的位移,故v2>v1;
故选B.
点评:本题关键作出v-t图象,然后根据图线与时间轴包围的面积表示位移得到恒定功率启动位移大,平均速度大.
恒定功率启动是变加速运动,平均速度:
解答:解:汽车由静止开始做匀加速直线运动,速度达到v的过程中的平均速度为v1,
汽车由静止开始以额定功率行驶,根据P=Fv,速度不断变大,牵引力不断减小;
根据牛顿第二定律,有:F-f=ma,故a=
作v-t图象,如图①所示,图线②表示匀加速直线运动;
v-t图象中,图象与时间轴包围的面积表示位移,故图线①表示的位移大于图形②对应的位移,故v2>v1;
故选B.
点评:本题关键作出v-t图象,然后根据图线与时间轴包围的面积表示位移得到恒定功率启动位移大,平均速度大.
练习册系列答案
相关题目