题目内容

小行星绕恒星运动,恒星均匀地向四周辐射能量,质量缓慢减小,可认为小行星绕恒星运动一周的过程中近似做圆周运动,则经过足够长的时间后,小行星运动的(    )

A.半径变大          B.速率变大

C.角速度变大          D.加速度变大

 

【答案】

A

【解析】

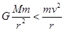
试题分析:由于恒星质量减小,所以万有引力减小,此时时,行星将做离心运动,半径变大,A正确;再根据可知,线速度,角速度,向心加速度都变小,B、C、D错误。

考点:万有引力与航天

 

练习册系列答案
相关题目

违法和不良信息举报电话:027-86699610 举报邮箱:58377363@163.com

精英家教网