题目内容
“空间站”是科学家进行天文探测和科学试验的特殊而又重要的场所.假设“空间站”正在地球赤道平面内的圆周轨道上运行,其离地球表面的高度为同步卫星离地球表面高度的十分之一,且运行方向与地球自转方向一致.下列说法正确的有( )A.“空间站”运行的加速度等于其所在高度处的重力加速度
B.“空间站”运行的速度等于同步卫星运行速度的
C.站在地球赤道上的人观察到它向西运动
D.在“空间站”工作的宇航员因受到平衡力而在舱中悬浮或静止
【答案】分析:A、根据空间站在某一位置受到的重力提供它做圆周运动的向心力,可知运行加速度和所在高度处的重力加速度的关系.
B、根据万有引力提供向心力分析.
C、同步卫星和地球自转的角速度相同,比较出空间站和同步卫星的角速度大小,就可以判断出空间站相对于地球的运行方向.
D、在“空间站”工作的宇航员处于完全失重状态.
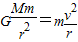
解答:解:A、根据
,知“空间站”运行的加速度等于其所在高度处的重力加速度.故A正确.
B、根据
得:v=
,离地球表面的高度不是其运动半径,所以线速度之比不是
:1,故B错误;
C、轨道半径越大,角速度越小,同步卫星和地球自转的角速度相同,所以空间站的角速度大于地球自转的角速度,所以站在地球赤道上的人观察到空间站向东运动.故C错误;
D、在“空间站”工作的宇航员处于完全失重状态,靠万有引力提供向心力,做圆周运动.故D错误.
故选A.
点评:解决本题的关键掌握万有引力等于重力,以及处于空间站中的人、物体处于完全失重状态,靠地球的万有引力提供向心力,做圆周运动.
B、根据万有引力提供向心力分析.
C、同步卫星和地球自转的角速度相同,比较出空间站和同步卫星的角速度大小,就可以判断出空间站相对于地球的运行方向.
D、在“空间站”工作的宇航员处于完全失重状态.
解答:解:A、根据
B、根据
C、轨道半径越大,角速度越小,同步卫星和地球自转的角速度相同,所以空间站的角速度大于地球自转的角速度,所以站在地球赤道上的人观察到空间站向东运动.故C错误;
D、在“空间站”工作的宇航员处于完全失重状态,靠万有引力提供向心力,做圆周运动.故D错误.
故选A.
点评:解决本题的关键掌握万有引力等于重力,以及处于空间站中的人、物体处于完全失重状态,靠地球的万有引力提供向心力,做圆周运动.
练习册系列答案
相关题目