题目内容

一物体以5m/s的初速度、大小为2m/s2的加速度在粗糙的水平面上做匀减速滑行,则在4s内通过的位移为(   )

A.4m         B.3.6m           C.6.25m          D.8.5m

 

【答案】

C

【解析】

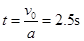
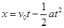
试题分析:根据匀减速运动学公式,解得物体减速至零所用的时间为,由位移公式,代入数据解得物体4s内的位移为,故只有C选项正确。

考点:匀变速直线运动

 

练习册系列答案
相关题目

违法和不良信息举报电话:027-86699610 举报邮箱:58377363@163.com

精英家教网