题目内容
(10分)如图所示,光滑水平面AB与竖直面内的半圆形导轨在B点相接,导轨半径为R.一个质量为m的物体将弹簧压缩至A点后由静止释放,在弹力作用下物体获得某一向右速度后脱离弹簧,脱离弹簧后当它经过B点进入导轨瞬间对导轨的压力为其重力的7倍,之后向上运动完成半个圆周运动恰好到达C点。试求:
![]()
(1)弹簧开始时的弹性势能;
(2)物体从B点运动至C点克服阻力做的功;
(3)物体离开C点后落回水平面时,重力的瞬时功率是多大
【答案】
(1)
(2)
(3)![]()
【解析】
试题分析:(1) 物块在B点时由牛顿第二定律得
2 分
解得: ![]()
所以其弹势能为:
1分
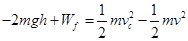
(2)
恰好到达C点则
可得
1 分
根据动能定理得:
2分
解得
,即克服摩擦阻力做功
1分
(3) 物体从C点平抛后,落地时竖直方向的速度为
,
重力的瞬时功率为
2分
解得:
1分
考点:考查了牛顿第二定律,动能定理,功能关系,瞬时功率
练习册系列答案
相关题目