题目内容

一正方形闭合导线框abcd,边长为0.1m,各边电阻均为1Ω,bc边位于x轴上,在x轴原点O右方有宽为0.2m、磁感应强度为1T的垂直纸面向里的匀强磁场区,如图所示,当线框以恒定速度4m/s沿x轴正方向穿越磁场区过程中,如图所示中,哪一图线可正确表示线框从进入到穿出过程中,ab边两端电势差Uab随位置变化的情况(   )

 

【答案】

B

【解析】

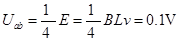
试题分析:由楞次定律判断可知,在线框穿过磁场的过程中,a点的电势始终高于b的电势,则始终为正值;AD错误;ab、dc两边切割磁感线时产生的感应电动势为;在0-L内,ab切割磁感线,ab两端的电压是路端电压,则;在L-2L内,线框完全在磁场中运动,穿过线框的磁通量没有变化,不产生感应电流,则;在2L-3L内,a、b两端的电压等于路端电压的,则;由分析可知选项B正确。

故选B

考点:法拉第电磁感应定律

点评:注意由楞次定律判断电势的高低,确定电势差的正负;分析与感应电动势的关系是关键,要区分外电压和内电压,做切割磁感线运动的导体相当于电源。

 

练习册系列答案
相关题目

违法和不良信息举报电话:027-86699610 举报邮箱:58377363@163.com

精英家教网