题目内容
我国的“探月工程”计划于2017年宇航员登上月球.若宇航员登月前记录贴近月球表面绕月球做匀速圆周运动的飞船飞行一周的时间T;登上月球后,以初速度υ竖直向上抛出一小球,测出小球从抛出到落回原处所需的时间t,求月球的半径R.
【答案】分析:飞船靠近月球表面做匀速圆周运动,万有引力提供向心力列出等式.
小球在月球表面做竖直上抛运动,由t=
求出月球表面的重力加速度,
物体在月球表面上时,根据重力等于万有引力列出等式联立求解.
解答:解:飞船靠近月球表面做匀速圆周运动,万有引力提供向心力有:

质量为m′的小球在月球上做竖直上抛,
根据运动学规律有:
物体在月球表面上时,根据重力等于万有引力列出等式:

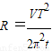
由以上各式可求得
答:月球的半径是
.
点评:本题是卫星类型的问题,常常建立这样的模型:环绕天体绕中心天体做匀速圆周运动,由中心天体的万有引力提供向心力.
重力加速度g是联系物体运动和天体运动的桥梁.
小球在月球表面做竖直上抛运动,由t=
物体在月球表面上时,根据重力等于万有引力列出等式联立求解.
解答:解:飞船靠近月球表面做匀速圆周运动,万有引力提供向心力有:
质量为m′的小球在月球上做竖直上抛,
根据运动学规律有:
物体在月球表面上时,根据重力等于万有引力列出等式:
由以上各式可求得
答:月球的半径是
点评:本题是卫星类型的问题,常常建立这样的模型:环绕天体绕中心天体做匀速圆周运动,由中心天体的万有引力提供向心力.
重力加速度g是联系物体运动和天体运动的桥梁.
练习册系列答案
相关题目