题目内容

我国在2007年发射一颗绕月运行的探月卫星“嫦娥1号”.设想“嫦娥1号”贴近月球表面做匀速圆周运动,测得其周期为T.“嫦娥1号”最终在月球上着陆后,自动机器人用测力计测得质量为m的仪器重力为P.已知引力常量为G,由以上数据可以求出的量有

A.月球的半径

B.月球的质量

C.月球表面的重力加速度

D.月球绕地球做匀速圆周运动的向心加速度

答案:ABC
解析:

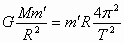
  解析:万有引力提供飞船做圆周运动的向心力,设飞船质量为,有,又月球表面万有引力等于重力,,两式联立可以求出月球的半径R、质量M、月球表面的重力加速度g;故A、B、C都正确.

  题后反思:测试考点“万有引力定律”.本题以天体问题为背景,考查向心力、万有引力、圆周运动等知识.这类以天体运动为背景的题目,是近几年高考命题的热点,特别是近年来我们国家在航天方面的迅猛发展,更会出现各类天体运动方面的题.


练习册系列答案
相关题目

违法和不良信息举报电话:027-86699610 举报邮箱:58377363@163.com

精英家教网