题目内容
如图甲所示是一种速度传感器的工作原理图,在这个系统中B为一个能发射超声波的固定小盒子,工作时小盒子B向被测物体发出短暂的超声波脉冲,脉冲被运动的物体反射后又被B盒接收,从B盒发射超声波开始计时,经时间△t再次发射超声波脉冲,图乙是连续两次发射的超声波的位移-时间图象,则下列说法正确的是( )A.超声波的速度为v声=
B.超声波的速度为v声=
C.物体的平均速度为
D.物体的平均速度为
【答案】分析:超声波在空中匀速传播,根据发射和接收的时间差求出速度.物体通过的位移为x2-x1时,所用时间为
,再求解物体的平均速度.
解答:解:A、由图超声波在
时间内通过位移为x1,则超声波的速度为v声=
=
.故A正确.
B、由图可知:超声波通过位移为x2时,所用时间为
,则超声波的速度为v声>
.故B错误.
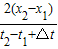
C、D由题:物体通过的位移为x2-x1时,所用时间为
-
+△t=
,物体的平均速度
=
=
.故C错误,D正确.
故选AD
点评:本题是实际应用问题,考查应用物理知识分析、理解现代科技装置原理的能力.
解答:解:A、由图超声波在
B、由图可知:超声波通过位移为x2时,所用时间为
C、D由题:物体通过的位移为x2-x1时,所用时间为
故选AD
点评:本题是实际应用问题,考查应用物理知识分析、理解现代科技装置原理的能力.
练习册系列答案
相关题目