ÌâÄ¿ÄÚÈÝ
£¨1£©ÔÚ¡°ÀûÓõ¥°Ú²âÖØÁ¦¼ÓËÙ¶È¡±µÄʵÑéÖУ¬²âµÃµ¥°ÚµÄ°Ú½ÇСÓÚ5°£¬Íê³Én´ÎÈ«Õñ¶¯µÄʱ¼äΪt£¬ÓúÁÃ׿̶ȳ߲âµÃµÄ°ÚÏß³¤ÎªL£¬ÓÃÎåÊ®·Ö¶ÈµÄÓα꿨³ß²âµÃ°ÚÇòµÄÖ±¾¶d£®¢ÙÓÃÉÏÊöÎïÀíÁ¿µÄ·ûºÅд³öÇóÖØÁ¦¼ÓËٶȵÄÒ»°ã±í´ïʽg=______£®
¢Ú´Óͼ1¿ÉÖª£¬°ÚÇòÖ±¾¶dµÄ¶ÁÊý£¨·Ö³ß±ê¶ÈΪ5ÓëÖ÷³ßijһ¿Ì¶ÈÏß¶ÔÆë£©Îª______cm£®
£¨2£©½«Çã½ÇΪ¦ÈµÄ¹â»¬¾øÔµÐ±Ãæ·ÅÖÃÔÚÒ»¸ö×ã¹»´óµÄÔÈÇ¿´Å³¡ÖУ¬´Å³¡·½Ïò´¹Ö±Ö½ÃæÏòÀ´Å¸ÐӦǿ¶ÈΪB£¬Ò»¸öÖÊÁ¿Îªm¡¢´øµçÁ¿ÎªqµÄСÎïÌåÔÚÐ±ÃæÉÏÓɾ²Ö¹¿ªÊ¼Ï»¬£¨ÉèÐ±Ãæ×ã¹»³¤£©Èçͼ2Ëùʾ£¬»¬µ½Ä³Ò»Î»ÖÿªÊ¼À뿪£¬Çó£º
¢ÙÎïÌå´øµçºÉÐÔÖÊ______
¢ÚÎïÌåÀë¿ªÐ±ÃæÊ±µÄËٶȼ°ÎïÌåÔÚÐ±ÃæÉÏ»¬Ðеij¤¶ÈÊÇ______
¡¾´ð°¸¡¿·ÖÎö£º£¨1£©¢Ùµ¥°Ú°Ú³¤ÊǰÚÏߵij¤¶ÈÓë°ëÇò°ë¾¶Ö®ºÍ£¬Óɵ¥°ÚÖÜÆÚ¹«Ê½¿ÉÒÔÇó³öÖØÁ¦¼ÓËٶȵıí´ïʽ£®
¢ÚÓα꿨³ßÖ÷³ßʾÊýÓëÓαê³ßʾÊýÖ®ºÍÊÇÓαê³ßµÄʾÊý£¬ÓÉͼ1ËùʾÓα꿨³ß¿ÉÒÔÇó³ö°ÚÇòµÄÖ±¾¶£»
£¨2£©´øµçÎïÌåÏ»¬µ½Ä³Ò»Î»ÖÃÀë¿ªÐ±Ãæ£¬ÓÉ´Ë¿ÉÖªÂåÂ××ÈÁ¦´¹Ö±ÓÚÐ±ÃæÏòÉÏ£¬¸ù¾Ý×óÊÖ¶¨ÔòÅжϴøµçÎïÌåµÄµçÐÔ£®
¶ÔÎïÌå½øÐÐÊÜÁ¦·ÖÎö£¬µ±ÎïÌå¶ÔÐ±ÃæµÄѹÁ¦ÎªÁãʱ£¬ÎïÌ忪ʼÀë¿ªÐ±Ãæ£¬ÓÉÆ½ºâÌõ¼þÇó³öÎïÌå´ËʱµÄËÙ¶È£»
ÓÉÅ£¶ÙµÚ¶þ¶¨ÂÉÇó³öÎïÌåµÄ¼ÓËÙ¶È£¬È»ºóÓÉÔȱäËÙÔ˶¯µÄËÙ¶ÈÎ»ÒÆ¹«Ê½Çó³öÎïÌåÔÚÐ±ÃæÉÏ»¬Ðеij¤¶È£®
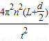
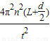
½â´ð£º½â£º£¨1£©¢Ùµ¥°Ú°Ú³¤l=L+
£¬µ¥°ÚÖÜÆÚT=
£¬Óɵ¥°ÚÖÜÆÚ¹«Ê½T=2¦Ð
¿ÉÖª£¬
g=
=
=
£»
¢ÚÓÉͼ1ËùʾÓα꿨³ß¿ÉÖª£¬Óα꿨³ßÖ÷³ßʾÊýÊÇ1.7cm£¬Óαê³ßʾÊýÊÇ25×0.02mm=0.50mm=0.050cm£¬
ÔòÓα꿨³ßµÄʾÊý£¬¼´°ÚÇòÖ±¾¶Îª1.7cm+0.050cm=1.750cm£»
£¨2£©¢Ù´øµçСÎïÌåÏ»¬»¬µ½Ä³Ò»Î»ÖÿªÊ¼Àë¿ªÐ±Ãæ£¬ËµÃ÷ÎïÌåÊܵ½µÄÂåÂ××ÈÁ¦´¹Ö±ÓÚÐ±ÃæÏòÉÏ£¬ÓÉ×óÊÖ¶¨ÔòÖª£¬Ð¡Çò´ø¸ºµç£®
¢ÚСÎïÌåÑØÐ±ÃæÏ»¬Ê±£¬ÊÜÁ¦ÈçͼËùʾ£»
ÓÉÅ£¶ÙµÚ¶þ¶¨Âɵãºmgsin¦È=ma£¬¼ÓËÙ¶Èa=gsin¦È£¬
ÂåÂ××ÈÁ¦F=qvB£¬µ±FN=0£¬¼´qvB=mgcos¦È£¬
v=
ʱ£¬Ð¡ÎïÌ忪ʼÀë¿ªÐ±Ãæ£»
ÓÉÔȱäËÙÖ±ÏßÔ˶¯µÄËÙ¶ÈÎ»ÒÆ¹«Ê½¿ÉµÃ£º
v2-0=2aL£¬ÔòСÎïÌåÔÚÐ±ÃæÉÏ»¬Ðеij£Ê¶L=
¹Ê´ð°¸Îª£º£¨1£©¢Ù
£»¢Ú1.750cm£¨2£©¢Ù¸ºµç£»¢Ú
£®
µãÆÀ£º£¨1£©¶ÔÓα꿨³ß¶ÁÊýʱҪȷ¶¨Óαê³ßµÄ¾«¶È£¬Óαê³ßÊÇ10·Ö¶ÈµÄ¾«¶ÈÊÇ0.1mm£¬20·Ö¶ÈµÄ¾«¶ÈÊÇ0.05mm£¬50·Ö¶ÈµÄ¾«¶ÈÊÇ0.02mm£®
£¨2£©½â¾ö±¾ÌâµÄ¹Ø¼üÊÇÕýÈ·µØ½øÐÐÊÜÁ¦·ÖÎö£¬×¥×¡´¹Ö±ÓÚÐ±Ãæ·½ÏòÉϵĺÏÁ¦ÎªÁãʱ£¬ÎïÌ忪ʼÀë¿ªÐ±Ãæ½øÐзÖÎöÇó½â£®
¢ÚÓα꿨³ßÖ÷³ßʾÊýÓëÓαê³ßʾÊýÖ®ºÍÊÇÓαê³ßµÄʾÊý£¬ÓÉͼ1ËùʾÓα꿨³ß¿ÉÒÔÇó³ö°ÚÇòµÄÖ±¾¶£»
£¨2£©´øµçÎïÌåÏ»¬µ½Ä³Ò»Î»ÖÃÀë¿ªÐ±Ãæ£¬ÓÉ´Ë¿ÉÖªÂåÂ××ÈÁ¦´¹Ö±ÓÚÐ±ÃæÏòÉÏ£¬¸ù¾Ý×óÊÖ¶¨ÔòÅжϴøµçÎïÌåµÄµçÐÔ£®
¶ÔÎïÌå½øÐÐÊÜÁ¦·ÖÎö£¬µ±ÎïÌå¶ÔÐ±ÃæµÄѹÁ¦ÎªÁãʱ£¬ÎïÌ忪ʼÀë¿ªÐ±Ãæ£¬ÓÉÆ½ºâÌõ¼þÇó³öÎïÌå´ËʱµÄËÙ¶È£»
ÓÉÅ£¶ÙµÚ¶þ¶¨ÂÉÇó³öÎïÌåµÄ¼ÓËÙ¶È£¬È»ºóÓÉÔȱäËÙÔ˶¯µÄËÙ¶ÈÎ»ÒÆ¹«Ê½Çó³öÎïÌåÔÚÐ±ÃæÉÏ»¬Ðеij¤¶È£®
½â´ð£º½â£º£¨1£©¢Ùµ¥°Ú°Ú³¤l=L+
g=
¢ÚÓÉͼ1ËùʾÓα꿨³ß¿ÉÖª£¬Óα꿨³ßÖ÷³ßʾÊýÊÇ1.7cm£¬Óαê³ßʾÊýÊÇ25×0.02mm=0.50mm=0.050cm£¬
ÔòÓα꿨³ßµÄʾÊý£¬¼´°ÚÇòÖ±¾¶Îª1.7cm+0.050cm=1.750cm£»
£¨2£©¢Ù´øµçСÎïÌåÏ»¬»¬µ½Ä³Ò»Î»ÖÿªÊ¼Àë¿ªÐ±Ãæ£¬ËµÃ÷ÎïÌåÊܵ½µÄÂåÂ××ÈÁ¦´¹Ö±ÓÚÐ±ÃæÏòÉÏ£¬ÓÉ×óÊÖ¶¨ÔòÖª£¬Ð¡Çò´ø¸ºµç£®
¢ÚСÎïÌåÑØÐ±ÃæÏ»¬Ê±£¬ÊÜÁ¦ÈçͼËùʾ£»
ÓÉÅ£¶ÙµÚ¶þ¶¨Âɵãºmgsin¦È=ma£¬¼ÓËÙ¶Èa=gsin¦È£¬
ÂåÂ××ÈÁ¦F=qvB£¬µ±FN=0£¬¼´qvB=mgcos¦È£¬
v=
ÓÉÔȱäËÙÖ±ÏßÔ˶¯µÄËÙ¶ÈÎ»ÒÆ¹«Ê½¿ÉµÃ£º
v2-0=2aL£¬ÔòСÎïÌåÔÚÐ±ÃæÉÏ»¬Ðеij£Ê¶L=
¹Ê´ð°¸Îª£º£¨1£©¢Ù
µãÆÀ£º£¨1£©¶ÔÓα꿨³ß¶ÁÊýʱҪȷ¶¨Óαê³ßµÄ¾«¶È£¬Óαê³ßÊÇ10·Ö¶ÈµÄ¾«¶ÈÊÇ0.1mm£¬20·Ö¶ÈµÄ¾«¶ÈÊÇ0.05mm£¬50·Ö¶ÈµÄ¾«¶ÈÊÇ0.02mm£®
£¨2£©½â¾ö±¾ÌâµÄ¹Ø¼üÊÇÕýÈ·µØ½øÐÐÊÜÁ¦·ÖÎö£¬×¥×¡´¹Ö±ÓÚÐ±Ãæ·½ÏòÉϵĺÏÁ¦ÎªÁãʱ£¬ÎïÌ忪ʼÀë¿ªÐ±Ãæ½øÐзÖÎöÇó½â£®
Á·Ï°²áϵÁдð°¸
Ïà¹ØÌâÄ¿