ÌâÄ¿ÄÚÈÝ

»¬°åÔ˶¯ÒѳÉΪÇàÉÙÄêËùϲ°®µÄÒ»ÖÖÌåÓýÔ˶¯£¬ÈçͼËùʾÉÏСÃ÷ͬѧÕýÔÚ½øÐл¬°åÔ˶¯¡£Í¼ÖÐAB¶ÎÂ·ÃæÊÇˮƽµÄ£¬BCDÊÇÒ»¶ÎR =20mµÄ¹°ÆðµÄÔ²»¡Â·Ã棬Բ»¡µÄ×î¸ßµãC±ÈABµÄ¸ß³öh =1.25m¡£ÒÑÖªÈËÓ뻬°åµÄ×ÜÖÊÁ¿ÎªM=60kg¡£Ð¡Ã÷×ÔAµãÓɾ²Ö¹¿ªÊ¼Ô˶¯£¬ÔÚAB·¶ÎËûµ¥ÍÈÓÃÁ¦µÅµØ£¬µ½´ïBµãǰֹͣµÅµØ£¬È»ºó³åÉÏÔ²»¡Â·¶Î£¬½á¹ûµ½´ïCµãʱǡºÃ¶ÔµØÃæÑ¹Á¦ÎªÁ㣬²»¼Æ»¬°åÓë¸÷·¶ÎÖ®¼äµÄĦ²ÁÁ¦¼°¾­¹ýBµãʱµÄÄÜÁ¿Ëðʧ£¨gÈ¡10m/s2£©¡£

Çó£¨1£©Ð¡Ã÷µ½´ïCµãµÄËÙ¶È  

£¨2£©Ð¡Ã÷ÔÚAB¶ÎËù×öµÄ¹¦

 

¡¾´ð°¸¡¿

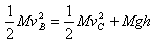
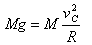
£¨1£©È˺ͻ¬°åÔڰ뾶ΪRµÄÔ²ÖÜÉÏ×÷Ô²ÖÜÔ˶¯£¬´¦ÓÚÔ²ÖܹìµÀµÄ×î¸ßµãʱËùÊÜÖØÁ¦ÌṩÏòÐÄÁ¦£¬É軬Ðе½CµãʱµÄËÙ¶ÈΪvC,¸ù¾ÝÅ£¶ÙµÚ¶þ¶¨ÂÉ

¡­¡­¡­¡­¡­¡­3·Ö

   

µÃ         m/s  ¡­¡­¡­¡­¡­¡­2·Ö

   £¨2£© È˺ͻ¬°å´ÓË®Æ½ÃæÔ˶¯µ½CµÄ¹ý³ÌÖУ¬¸ù¾Ý»úеÄÜÊØºã¶¨ÂɵÃ

  ¡­¡­¡­¡­¡­¡­4·Ö

   

½âµÃ     ¡­¡­¡­¡­¡­¡­1·Ö

    ÔÚAB¶ÎÓö¯Äܶ¨ÀíµÃ

 

¡­¡­¡­¡­¡­¡­4·Ö

¡¾½âÎö¡¿ÂÔ

 

Á·Ï°²áϵÁдð°¸
Ïà¹ØÌâÄ¿

Î¥·¨ºÍ²»Á¼ÐÅÏ¢¾Ù±¨µç»°£º027-86699610 ¾Ù±¨ÓÊÏ䣺58377363@163.com

¾«Ó¢¼Ò½ÌÍø