题目内容
质点做直线运动的位移x与时间t的关系为x = 5t + t2 (各物理量均采用国际单位制单位),则该质点( )
A.质点的初速度为5 m/s B.质点的初速度为10m/s
C.质点的加速度为1 m/s2 D.质点的加速度为2 m/s2
【答案】
AD
【解析】
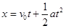
试题分析:做匀变速直线运动位移随时间变化的规律是
,
题中的关系式还可以写成:
,所以
,
,AD正确,
考点:本题考查对匀变速直线运动位移公式的掌握程度和应用能力,
点评:关键是对公式的灵活运用,是一道基础题型,非常经典
练习册系列答案
相关题目
质点做直线运动的位移x与时间t的关系为x=5t-t2(各物理量均采用国际单位制单位),则该质点初速度和加速度分别为( )
| A、5m/s,2m/s2 | B、5m/s,-2m/s2 | C、10m/s,2m/s2 | D、10m/s,-2m/s2 |