题目内容

某同学设计了一个探究加速度a与物体所受合力F及质量m关系的实验,图(a)为实验装置简图.(交流电的频率为50Hz)
(1)图(b)为某次实验得到的纸带,每两点之间还有4点没有画出来,图中上面的数字为相邻两点间的距离,根据纸带可求出小车的加速度大小为    m/s2.(保留二位有效数字)
(2)保持小车质量不变,改变砂和砂桶的质量,该同学根据实验数据作出了加速度a随合力F的变化图线如图(c)所示.该图线不通过原点,其主要原因是   
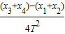
【答案】分析:(1)根据逐差法△x=aT2可求出物体的加速度,而△x=(x3+x4)-(x1+x2),T=5T=0.1s.
(2)当绳子的拉力不为0时,物体的加速度仍然为0,说明物体所受的合外力不是绳子的拉力,故物体受的摩擦力没有得到平衡或平衡摩擦力不足
解答:解:(1)由于交流电的频率为50Hz,故打点时间间隔为0.02s,所以每两个计数点之间的时间间隔为T=0.1s,利用逐差法△x=aT2可得
(x3+x4)-(x1+x2)=4aT2
则a===0.51m/s2
(2)由图可知当绳子的拉力不为0时,物体的加速度仍然为0,说明物体所受的合外力不是绳子的拉力,故物体受的摩擦力没有得到平衡或平衡摩擦力不足.
故答案为:(1)0.51
(2)实验前未平衡摩擦力或平衡摩擦力不充分.
点评:只有掌握了实验原理就能顺利解决所有的题目,即只有掌握了实验原理才能举一反三,才能融会贯通.
练习册系列答案
相关题目
(1)①某同学设计了一个探究小车的加速度a与小车所受拉力F及质量m关系的实验,图中(甲)为实验装置简图.他想用钩码的重力表示小车受到的合外力,为了减小这种做法带来的实验误差,你认为下列说法中正确的是
 
(选填字母代号).
A.实验时要平衡摩擦力                B.实验时不需要平衡摩擦力
C.钩码的重力要远小于小车的总重力    D.实验进行时应先释放小车再接通电源
②如图(乙)所示是某次实验中得到的一条纸带,其中A、B、C、D、E是计数点(每打5个点取一个计数点),其中L1=3.07cm,L2=12.38cm,L3=27.87cm,L4=49.62cm.则打C点时小车的速度为
 
m/s,小车的加速度是
 
m/s2.(计算结果均保留三位有效数字)
精英家教网
(2)①某实验小组在“测定金属电阻率”的实验过程中,正确操作获得金属丝的直径以及电流表、电压表的读数如图所示,则它们的读数值依次是
 
mm、
 
A、
 
V.
精英家教网
②已知实验中所用的滑动变阻器阻值范围为0~10Ω,电流表内阻约几欧,电压表内阻约20kΩ,电源为干电池(不宜在长时间、大功率状况下使用),电源电动势E=4.5V,内阻较小.则以下电路图中,
 
(选填字母代号)电路为本次实验应当采用的最佳电路,但用此最佳电路测量的金属丝电阻仍然会比真实值偏
 
(选填“大”或“小”).
精英家教网
③若已知实验所用的电流表内阻的准确值RA=2.0Ω,那么测量金属丝电阻Rx的最佳电路应是图中的
 
电路(选填字母代号).此时测得电流为I、电压为U,则金属丝电阻Rx=
 
( 用题中字母代号表示).

违法和不良信息举报电话:027-86699610 举报邮箱:58377363@163.com

精英家教网