题目内容
(11分)如图所示,A.B为平行板电容器,两板相距d,接在电压为U的电源上,在A板的中央有一小孔M(两板间电场可视为匀强电场).今有一质量为m的带电质点,自A板上方与A板相距也为d的O点由静止自由下落,穿过小孔M后到达距B板
的N点时速度恰好为零.(重力加速度为g)
![]()
求:(1)带电质点的电荷量,并指出其带电性质;
(2)在保持与电源相连的情况下,A板往下移
的距离.质点仍从O点由静止自由下落,求质点下落速度为零时距B板的距离.
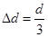
(1)
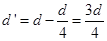
负电 (2) ![]()
【解析】
试题分析:(1)由题意知,质点带负电 ①
两极板间的场强E:
②
设电量大小为q,则从O到N点,则动能定理可得:
③
由①②解得:
④
(2)当A板下移
时,两板间的距离
⑤
两板间的场强
:
⑥
设下落速度为零时距B板距离为
,
则从开始下落到速度为零的过程中,由动能定理得:
⑦
由④⑤⑥⑦得:
⑧
考点:本题考查匀强电场中电场强度与电势差关系、动能定理。
(11分)利用如图所示的电路测定电源的电动势和内电阻,提供的器材有
![]()
(A)干电池两节,每节电池的电动势约为1.5V,内阻未知
(B)直流电压表V1、V2,内阻很大
(C)直流电流表A,内阻可忽略不计
(D)定值电阻R0,阻值未知,但不小于5Ω
(E)滑动变阻器
(F)导线和开关
(1)甲同学利用该电路完成实验时,由于某根导线发生断路故障,因此只记录了一个电压表和电流表的示数,如下表所示:
| U/V | 2.62 | 2.48 | 2.34 | 2.20 | 2.06 | 1.92 |
| I/A | 0.08 | 0.12 | 0.19 | 0.20 | 0.24 | 0.28 |
试利用表格中数据作出U-I图,由图象可知,测得两节干电池总的电动势值为 V,总内阻为 Ω。由计算得到的数据可以判断能够正确示数的电压表应为表 (选填“V1”或“V2”)。
![]()
(2)乙同学在找出断路的导线并调换好的导线后,连接该电路继续实验时,由于电流表发生短路故障,因此只能记下两个电压表的示数,该同学利用表中的数据,以表V1的示数U1为横坐标、表V2的示数U2为纵坐标作图象,也得到一条不过原点的直线,已知直线的斜率为k,截距大小为b,则两节干电池总的电动势大小为 ,两节干电池的总内阻 (选填“可以”或“不可以”)求出。
(11分)利用如图所示的电路测定电源的电动势和内电阻,提供的器材有![]()
![]()
(A)干电池两节,每节电池的电动势约为1.5V,内阻未知
(B)直流电压表V1、V2,内阻很大
(C)直流电流表A,内阻可忽略不计
(D)定值电阻R0,阻值未知,但不小于5Ω
(E)滑动变阻器
(F)导线和开关
(1)甲同学利用该电路完成实验时,由于某根导线发生断路故障,因此只记录了一个电压表和电流表的示数,如下表所示:
| U/V | 2.62 | 2.48 | 2.34 | 2.20 | 2.06 | 1.92 |
| I/A | 0.08 | 0.12 | 0.19 | 0.20 | 0.24 | 0.28 |
试利用表格中数据作出U-I图,由图象可知,测得两节干电池总的电动势值为 V,总内阻为 Ω。由计算得到的数据可以判断能够正确示数的电压表应为表 (选填“V1”或“V2”)。
(2)乙同学在找出断路的导线并调换好的导线后,连接该电路继续实验时,由于电流表发生短路故障,因此只能记下两个电压表的示数,该同学利用表中的数据,以表V1的示数U1为横坐标、表V2的示数U2为纵坐标作图象,也得到一条不过原点的直线,已知直线的斜率为k,截距大小为b,则两节干电池总的电动势大小为 ,两节干电池的总内阻 (选填“可以”或“不可以”)求出。
(11分)利用如图所示的电路测定电源的电动势和内电阻,提供的器材有
![]()
(A)干电池两节,每节电池的电动势约为1.5V,内阻未知
(B)直流电压表V1、V2,内阻很大
(C)直流电流表A,内阻可忽略不计
(D)定值电阻R0,阻值未知,但不小于5Ω
(E)滑动变阻器
(F)导线和开关
(1)甲同学利用该电路完成实验时,由于某根导线发生断路故障,因此只记录了一个电压表和电流表的示数,如下表所示:
|
U/V |
2.62 |
2.48 |
2.34 |
2.20 |
2.06 |
1.92 |
|
I/A |
0.08 |
0.12 |
0.19 |
0.20 |
0.24 |
0.28 |
试利用表格中数据作出U-I图,由图象可知,测得两节干电池总的电动势值为 V,总内阻为 Ω。由计算得到的数据可以判断能够正确示数的电压表应为表 (选填“V1”或“V2”)。
![]()
(2)乙同学在找出断路的导线并调换好的导线后,连接该电路继续实验时,由于电流表发生短路故障,因此只能记下两个电压表的示数,该同学利用表中的数据,以表V1的示数U1为横坐标、表V2的示数U2为纵坐标作图象,也得到一条不过原点的直线,已知直线的斜率为k,截距大小为b,则两节干电池总的电动势大小为 ,两节干电池的总内阻 (选填“可以”或“不可以”)求出。