题目内容
2001年10月22日,欧洲航天局由卫星观测发现银河系中心存在超大型黑洞,命名为MCG6-20-15,由于黑洞的强大引力,周围物质大量调入黑洞,假定银河系中心仅此一个黑洞,已知太阳系绕银河系中心匀速运转,下列哪一组数据可估算黑洞的质量( )A.地球绕太阳公转的周期和速度
B.太阳的质量和运行的速度
C.太阳质量和到MCG6-20-15的距离
D.太阳运行速度和到MCG6-20-15的距离
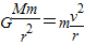
【答案】分析:根据万有引力提供向心力
,去求中心天体的质量.
解答:解:A、地球绕太阳公转,中心天体是太阳,根据周期和速度只能求出太阳的质量.故A错误.
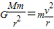
B、根据万有引力提供向心力
,中心天体是黑洞,太阳的质量约去,只知道线速度或轨道半径,不能求出黑洞的质量.故B、C错误.
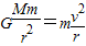
D、根据万有引力提供向心力
,知道环绕天体的速度和轨道半径,可以求出黑洞的质量.故D正确.
故选D.
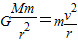
点评:解决本题的关键掌握根据万有引力提供向心力
.
解答:解:A、地球绕太阳公转,中心天体是太阳,根据周期和速度只能求出太阳的质量.故A错误.
B、根据万有引力提供向心力
D、根据万有引力提供向心力
故选D.
点评:解决本题的关键掌握根据万有引力提供向心力
练习册系列答案
相关题目
2001年10月22日,欧洲航天局由卫星观测发现银河系中心存在一个超大型黑洞,命名为MCG6-30-15,由于黑洞的强大引力,周围物质大量掉入黑洞,假定银河系中心仅此一个黑洞。已知太阳系绕银河系中心匀速运转,下列哪组数据可估算出该黑洞的质量 ( )
| A.地球绕太阳公转的周期和速度 |
| B.太阳的质量和运行速度 |
| C.太阳的质量和太阳到MCG6-30-15距离 |
| D.太阳运行速度和太阳到MCG6-30-15距离 |