题目内容
如图所示,R1=14.0Ω,R2=9.0Ω.当开关S扳到位置1时,测得电流I1=0.20A;扳到位置2时,测得电流I2=0.30A.求电源的电动势和内阻.
【答案】分析:分两次运用闭合电路欧姆定律列式,然后联立方程组求解即可.
解答:解:设电源的电动势和内阻分别为E和r,当开关分别处于1、2两个位置时,根据闭合电路的欧姆定律可以列出方程:
E=I1R1+I1r ①
E=I2R2+I2r ②
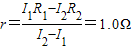
消去E,可以解出电源的内阻
把r值代入第一个方程中,可得电源的电动势E=3.0V
即电源的电动势为3.0V,内阻为1.0Ω.
点评:本题关键对整个电路分两次运用闭合电路欧姆定律列式,然后联立方程组求解,本题提供的方法是实验中测量电源的电动势和内阻的基本方法!
解答:解:设电源的电动势和内阻分别为E和r,当开关分别处于1、2两个位置时,根据闭合电路的欧姆定律可以列出方程:
E=I1R1+I1r ①
E=I2R2+I2r ②
消去E,可以解出电源的内阻
把r值代入第一个方程中,可得电源的电动势E=3.0V
即电源的电动势为3.0V,内阻为1.0Ω.
点评:本题关键对整个电路分两次运用闭合电路欧姆定律列式,然后联立方程组求解,本题提供的方法是实验中测量电源的电动势和内阻的基本方法!
练习册系列答案
相关题目