题目内容

如图所示,光滑水平面上有一质量M=4.0kg的带有圆弧轨道的平板车,车的上表面是一段长L=1.0m的粗糙水平轨道,水平轨道左侧连一半径R=0.25m的光滑圆弧轨道,圆弧轨道与水平轨道在O′点相切.车右端固定一个尺寸可以忽略、处于锁定状态的压缩弹簧,一质量m=1.0kg的小物块紧靠弹簧放置,小物块与水平轨道间的动摩擦因数μ=0.5.整个装置处于静止状态,现将弹簧解除锁定,小物块被弹出,恰能到达圆弧轨道的最高点A.取g=10m/2,求:

(1)

小物块到达A点时,平板车的速度大小;

(2)

解除锁定前弹簧的弹性势能;

(3)

小物块第二次经过O′点时的速度大小;

(4)

小物块与车最终相对静止时,它距O′点的距离.

答案:
解析:

(1)

解答:平板车和小物块组成的系统水平方向动量守恒,故小物块到达圆弧最高点A时,二者的共同速度v=0(2分)

(2)

解:设弹簧解除锁定前的弹性势能为Ep,上述过程中由能量转换和守恒,则有

Ep=mgR+μmgL(1分)

代入数据得Ep=7.5J(1分)

(3)

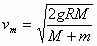
解:设不上物块第二次经过O′时的速度大小为vm,此时平板车的速度大小为vm,研究小物块在圆弧面上下滑过程,由系统动量守恒和机械能守恒有

0=mvm-MvM……①(1分)

……②(1分)

由①②两式可得……③

将已知条件代入③解得vm=2.0m/s(1分)

(4)

解:最终平板车和小物块相对静止时,二者的共同速度为0.设小物块相对平板车滑动的总路程为s,对系统由功能关系有Epμmgs(2分)

代入数据解得s=1.5m(1分)

小的块最终静止在O′点右侧,它距O′点的距离为s-L=0.5m(1分)


练习册系列答案
相关题目

违法和不良信息举报电话:027-86699610 举报邮箱:58377363@163.com

精英家教网