题目内容

飞船沿半径为R的圆周绕地球运动,其周期为T,如果飞船要返回地面,可在轨道上的某一点A处,将速率降低到适当数值,从而使飞船沿着以地心为焦点的椭圆轨道运行,椭圆和地球表面在B点相切,如图所示,如果地球半径为,求飞船由A点到B点所需要的时间.

答案:略
解析:

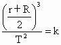
要求从A点运行到B点所需的时间,只需要开普勒第三定律求出飞船做椭圆运动的周期,因为从A运行到B的时间为半个周期.由开普勒定律可知:当飞船沿圆轨道运行时有,当飞船沿椭圆轨道运行时有

则有

AB的时间为


练习册系列答案
相关题目

违法和不良信息举报电话:027-86699610 举报邮箱:58377363@163.com

精英家教网