题目内容
某同学在“测匀变速直线运动的加速度”的实验中,用打点计时器记录了被小车拖动的纸带的运动情况,在纸带上确定了 A、B、C、D、E、F、G 共 7 个计数点(每 5 个点取 1 个计数点),其相邻点间的距离如图所示.打点计时器每隔0.02s 打一次点.根据以上数据:(1)计算出小车运动的加速度为 a= m/s2 (要求保留两位小数);
(2)计算出打下 D 点时小车的瞬时速度 vD= m/s(要求保留两位小数);
(3)求出打下 A 点时小车的瞬时速度 vA= m/s(要求保留两位小数).
【答案】分析:根据匀变速直线运动的推论公式△x=aT2可以求出加速度的大小,根据匀变速直线运动中时间中点的速度等于该过程中的平均速度,可以求出打纸带上B点时小车的瞬时速度大小,再根据速度时间关系式解出A点的速度.
解答:解:(1)上相邻两个计数点间的时间间隔为T=0.1s,
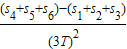
根据匀变速直线运动的推论公式△x=aT2
得:a=
得:a=3.12m/s2,
(2)据匀变速直线运动中时间中点的速度等于该过程中的平均速度,
得:VD=
=1.26m/s
(3)由速度时间关系式:VB=VA+aT
解得:VA=0.22m/s
故答案为:(1)3.12
(2)1.26
(3)0.22
点评:要提高应用匀变速直线的规律以及推论解答实验问题的能力,在平时练习中要加强基础知识的理解与应用.
解答:解:(1)上相邻两个计数点间的时间间隔为T=0.1s,
根据匀变速直线运动的推论公式△x=aT2
得:a=
得:a=3.12m/s2,
(2)据匀变速直线运动中时间中点的速度等于该过程中的平均速度,
得:VD=
(3)由速度时间关系式:VB=VA+aT
解得:VA=0.22m/s
故答案为:(1)3.12
(2)1.26
(3)0.22
点评:要提高应用匀变速直线的规律以及推论解答实验问题的能力,在平时练习中要加强基础知识的理解与应用.
练习册系列答案
相关题目