ÌâÄ¿ÄÚÈÝ

Èçͼ1ËùʾÊÇijͬѧ̽¾¿¹¦ÓëËٶȱ仯µÄ¹ØÏµµÄʵÑé×°Öã¬Ëû½«¹âµçÃŹ̶¨ÔÚ³¤Ä¾°åÉϵÄBµã£¬Óò»Í¬ÖØÎïͨ¹ýϸÏßÀ­Í¬Ò»Ð¡³µ£¬Ã¿´ÎС³µ¶¼´ÓͬһλÖÃAÓɾ²Ö¹ÊÍ·Å£®
£¨1£©ÈôÓÃÓα꿨³ß²â³öÕÚ¹âÌõµÄ¿í¶ÈdÈçͼ2Ëùʾ£¬d=______cm£»
£¨2£©ÊµÑéÖпɽüËÆÈÏΪϸÏß¶ÔС³µµÄÀ­Á¦ÓëÖØÎïÖØÁ¦´óСÏàµÈ£¬ÔòÀ­Á¦¶ÔС³µËù×öµÄ¹¦ÎªÖØÎïÖØÁ¦ÓëABµÄ¾àÀëµÄ³Ë»ý£»²â³ö¶à×éÖØÎïµÄÖÊÁ¿mºÍ¶ÔÓ¦ÕÚ¹âÌõͨ¹ý¹âµçÃŵÄʱ¼ä¡÷t£¬Í¨¹ýÃèµã×÷³öÏßÐÔͼÏó£¬Ñо¿¹¦ÓëËٶȱ仯µÄ¹ØÏµ£®´¦ÀíÊý¾ÝʱӦ×÷³ö______ͼÏó£®
A£®¡÷t-m  B£®¡÷t2-mC£®D£®£®

¡¾´ð°¸¡¿·ÖÎö£º£¨1£©Óα꿨³ßµÄ¶ÁÊýµÈÓÚÖ÷³ß¶ÁÊý¼ÓÉÏÓαê¶ÁÊý£¬²»Ðè¹À¶Á£»
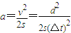
£¨2£©ÓÉÌâÒâ¿ÉÖª£¬Ð¡³µ¾­¹ý¹âµçÃÅʱµÄËٶȵÈÓÚÕÚ¹âÌõµÄ¿í¶È³ýÒÔʱ¼ä£¬¸ÃʵÑéÖб£³ÖС³µÖÊÁ¿M²»±ä£¬Òò´ËÓУºv2=2as£¬¼´£¬¸ù¾ÝÅ£¶ÙµÚ¶þ¶¨ÂÉÓУº£¬ËùÒÔÓУº£¬ÓÉ´Ë¿ÉÕýÈ·½â´ð£®
½â´ð£º½â£º£¨1£©Óα꿨³ßµÄÖ÷³ß¶ÁÊýΪ£º11mm£¬Óαê¶ÁÊýΪ£º0.05×8mm=0.40mm£¬
ËùÒÔ×îÖÕ¶ÁÊýΪ£º11mm+0.40mm=11.40mm=1.140cm£®
¹Ê´ð°¸Îª£º1.140cm£®
£¨2£©ÓÉÌâÒâ¿ÉÖª£¬Ð¡³µ¾­¹ý¹âµçÃÅʱµÄËٶȵÈÓÚÕÚ¹âÌõµÄ¿í¶È³ýÒÔʱ¼ä£¬¸ÃʵÑéÖб£³ÖС³µÖÊÁ¿M²»±ä£¬Òò´ËÓУºv2=2as£¬¼´£¬¸ù¾ÝÅ£¶ÙµÚ¶þ¶¨ÂÉÓУº£¬ËùÒÔÓУº£¬¼´£¬ÓÉ´Ë¿ÉÖªÈô»­³öͼÏó£¬Í¼ÏóΪ¹ýÔ­µãµÄÖ±Ïߣ¬»á¸üÖ±¹ÛÐÎÏ󣬹ÊABC´íÎó£¬DÕýÈ·£®
¹ÊÑ¡D£®
µãÆÀ£º±¾ÊµÑéÓë½Ì²ÄÖеÄʵÑéÓÐËù²»Í¬£¬µ«ÊǸù¾ÝËùѧÎïÀí֪ʶ£¬Ã÷È·ÁËʵÑéÔ­Àí£¬¼´¿ÉÕýÈ·½â´ð£®
Á·Ï°²áϵÁдð°¸
Ïà¹ØÌâÄ¿
ÎÒ¹ú·¢ÉäµÄ¡°æÏ¶ðÒ»ºÅ¡±Ì½ÔÂÎÀÐÇ£¬ÊµÏÖÁ˹úÈ˰ÙÄê±¼ÔµÄÃÎÏ룮
£¨1£©Èçͼ1ÊÇijͬѧ¶Ô¡°æÏ¶ðÒ»ºÅ¡±Ì½ÔÂÎÀÐÇÈÆÔÂÔËÐеĿÉÄܹìµÀµÄ²ÂÏ룬ÆäÖв»¿ÉÄÜʵÏÖµÄÊÇÄĸöͼ¶ÔÓ¦µÄ¹ìµÀ£¬ÄãµÄÀíÓÉÊÇʲô£¿

£¨2£©Èç¹ûÓԱÔÚÔÂÇò±íÃæÉÏ£¬²â³öСÎï¿é×ÔÓÉÏÂÂäh¸ß¶ÈËùÓõÄʱ¼äΪt£»²â³öÈÆÔÂÎÀÐÇÔÚ¿¿½üÔÂÇò±íÃæÔ²¹ìµÀÉÏ·ÉÐÐʱµÄÖÜÆÚÊÇT£¬ÒÑÖªÍòÓÐÒýÁ¦³£Á¿ÎªG£®ÇëÄãÓÃÉÏÊö¸÷Á¿ÍƵ¼³öÔÂÇòÖÊÁ¿µÄ±í´ïʽ£®
£¨3£©Ä³Ñ§Ð£ÎïÀíÐËȤС×éÑо¿¡°æÏ¶ðÒ»ºÅ¡±Ì½ÔÂÎÀÐǵķ¢ÉäºÍÔËÐÐÇé¿öʱ²ÂÏ룺ÎÀÐÇÒª°ÑÅÄÉãµ½µÄ¸÷ÖÖͼƬÐÅÏ¢£¬³ÖÐø²»¶ÏµØÓÃ΢²¨·¢»ØµØÃæÊ±£¬ÓÉÓÚÔÂÇòµÄÕÚµ²£¬ÔÚµØÇòÉÏ×ÜÓÐÒ»¶Îʱ¼ä½ÓÊÕ²»µ½ÎÀÐÇ·¢À´µÄ΢²¨Ðźţ®ÎªÁËÑéÖ¤×Ô¼ºµÄ²ÂÏ룬ËûÃÇÉè¼ÆÁËÈçͼ2ËùʾµÄµçÄÔÄ£ÄâʵÑ飺¹Ì¶¨µØÇòºÍÔÂÇòÄ£ÐÍ£¬ÈÃÎÀÐÇÈÆÔÂÐýת£¬ÔÚµØÇòÉϰ²×°Î¢²¨½ÓÊÕÆ÷£¬Ö¤ÊµÁËËûÃǵIJÂÏëÊÇÕýÈ·µÄ£®
ÔÚʵÑéÖÐËûÃÇÉè¼ÆºÍ²âÁ¿µÄ¸÷ÀàÊý¾ÝÊÇ£ºµØÇò¡¢ÔÂÇòºÍÎÀÐǵÄÖÊÁ¿·Ö±ðΪmµØ¡¢mÔºÍmÎÀ£¬ÎÀÐÇÈÆÔÂÇòÔËÐеÄÖÜÆÚΪT£¬¹ìµÀ°ë¾¶ÎªrÎÀ=2r£¬µØÇòºÍÔÂÇòµÄ°ë¾¶·Ö±ðΪrµØ=3rºÍrÔÂ=r£¬µØÇòÓëÔÂÇòÖ®¼äµÄÖÊÐľàÀëΪL=180r£®ÇëÄãÇó³ö£ºÔÚÕâ¸öÄ£ÄâʵÑéÖУ¬ÎÀÐÇÈÆÔÂÇòÔËÐÐÒ»¸öÖÜÆÚµÄʱ¼äÄÚ£¬µØÇò²»ÄܽÓÊÕµ½ÎÀÐÇ·¢ÉäµÄ΢²¨ÐźŵÄʱ¼ä£¨ÍòÓÐÒýÁ¦ºãÁ¿ÎªG£¬cos89¡ã=
190
£©£®
£¨2008?»Æ¸Ôһ죩£¨1£©Èçͼ1ÊÇ¡°ÓÃÃè¼£·¨»­³öµç³¡ÖÐÆ½ÃæÉϵĵÈÊÆÏß¡±µÄʵÑéʾÒâͼ£¬µç¼«A½ÓµçÔ´¸º¼«£¬µç¼«B½ÓµçÔ´Õý¼«£¬a¡¢b¡¢c¡¢d¡¢eÊÇÎå¸ö»ù×¼µã£®µ±µçÁ÷´Ó¡°+¡±½ÓÏßÖùÁ÷È˵çÁ÷±íʱ£¬Ö¸ÕëÏò¡°+¡±½ÓÏßÖùÒ»²àƫת£»µ±µçÁ÷´Ó¡°-¡±½ÓÏßÖùÁ÷È˵çÁ÷±íʱ£¬Ö¸ÕëÏò¡°-¡±½ÓÏßÖùÒ»²àƫתÔÚʵÑéʱ£¬Ì½ÕëI½Ó´¥»ù×¼µãd£¬Áíһ̽Õë¢ò½Ó´¥Ì½²âµãp£¨pdÁ¬Ïß´¹Ö±ÓÚABÁ¬Ïߣ©£¬ÁéÃôµçÁ÷¼ÆÖ¸ÕëÏò¡°-¡±½ÓÏßÖùÒ»²àƫת£¬Îª¾¡¿ì̽²âµ½ÓëdµãµçÊÆÏàµÈµÄµã£¬Ì½Õë¢òÓÉpµã
D
D

A£®ÏòÉÏÒÆ¶¯    B£®ÏòÏÂÒÆ¶¯    C£®Ïò×óÒÆ¶¯    D£®ÏòÓÒÒÆ¶¯

£¨2£©Ä³Í¬Ñ§¿´µ½Ò»Ö»ÄñÂäÔÚÊ÷Ö¦ÉϵÄP´¦Ê±£¬ÄñËæÊ÷Ö¦ÉÏÏÂÕñ¶¯£®¸ÃͬѧÓÃÃë±í²â³öÍê³É30´ÎÈ«Õñ¶¯ËùÓõÄʱ¼äΪ34.0s£¬Ëû²ÂÏëÒ»¶¨´ÎÊýµÄÕñ¶¯Ê±¼ä¿ÉÄÜÓëÄñµÄÖÊÁ¿³ÉÕý±È£¬Ò²ÐíÀûÓÃÕâÒ»²ÂÏë¿ÉÒÔ²â³öÄñµÄÖÊÁ¿£®ÓÚÊÇËûÏëͨ¹ýʵÑéÀ´ÑéÖ¤ÕâÖÖ²ÂÏë¾®Ëã³öÕâÖ»ÄñµÄÖÊÁ¿¸Ãͬѧ²ÉÓÃÁËÈçÏ·½·¨½øÐÐ̽¾¿£ºÔÚÈçͼ2ËùʾµÄÊ÷Ö¦ÉϵÄP´¦Ðü¹Ò²»Í¬ÖÊÁ¿µÄíÀÂ룬²¢·Ö±ð²â³öíÀÂë30´ÎÈ«Õñ¶¯ËùÓõÄʱ¼ä£¬²âÁ¿Êý¾Ý¼Ç¼Èçϱí
íÀÂëÖÊÁ¿m/g 100 200 300 400 500
ʱ¼ät/s 21.2 30.0 36.7 42.4 47.4
´Ëͬѧ¸ù¾Ý²âÁ¿Êý¾Ý×÷³öÁËm-tͼÏóÈçͼËùʾ

ÏÂÃæÇëÄãÀ´°ïÖúËûÍê³ÉʵÑéÈÎÎñ£¬²¢»Ø´ðÏà¹ØÎÊÌ⣺
¢Ù¸ù¾ÝÕâλͬѧ×÷³öµÄm-tͼÏó¿ÉÖª£¬ËûµÄ²ÂÏëÊÇ·ñÕýÈ·£¿
²»ÕýÈ·
²»ÕýÈ·
£¨Ìî¡°ÕýÈ·¡±»ò¡°²»ÕýÈ·¡±£©
¢Ú¹Û²ìÕâλͬѧ×÷³öµÄm-tͼÏßÐÎ×´¼°×ßÊÆ£¬Ìá³öÄã¶ÔÕñ¶¯Ê±¼ätÓëíÀÂëÖÊÁ¿m¼ä¹ØÏµµÄ¼ÙÉ裬²¢Í¨¹ýÁбí×÷³öÏàÓ¦µÄͼÏ󣬵óö½áÂÛ£¬Ð´³ötÓëm¼äµÄ¹ØÏµÊ½£®
Èç¹ûÔÚ¼ÆËã»ò×÷ͼʱÐèÒª£¬¿É²Î¿¼ÏÂÃæµÄ¸ùʽ±í£º
m 100 200 300 400 500
m
10.0 14.1 17.3 20.0 22.4
 3
m
4.6 5.8 6.7 7.4 7.9
¼ÙÉ裺
t¡Ø
m
»ò íÀÂëµÄÖÊÁ¿Óëʱ¼äµÄƽ·½³ÉÕý±È
t¡Ø
m
»ò íÀÂëµÄÖÊÁ¿Óëʱ¼äµÄƽ·½³ÉÕý±È
£»
ÁÐ±í£º
m
/
g
m
/
g
10.0
10.0
14.1
14.1
17.3
17.3
20.0
20.0
22.4
22.4
ʱ¼ät/s
ʱ¼ät/s
21.2
21.2
30.0
30.0
36.7
36.7
42.4
42.4
47.4
47.4
×÷ͼ£º£¨»­ÔÚ´ðÌ⿨µÄ×ø±êÖ½ÉÏ£©
½áÂÛ£º
ͼÏóÊÇÒ»Ìõ¹ýÔ­µãµÄÇãбֱÏߣ¬ËµÃ÷íÀÂë×ö30´ÎÈ«Õñ¶¯µÄʱ¼äÓëÆäÖÊÁ¿µÄƽ·½¸ù³ÉÕý±È
ͼÏóÊÇÒ»Ìõ¹ýÔ­µãµÄÇãбֱÏߣ¬ËµÃ÷íÀÂë×ö30´ÎÈ«Õñ¶¯µÄʱ¼äÓëÆäÖÊÁ¿µÄƽ·½¸ù³ÉÕý±È
£»
¹ØÏµÊ½£º
m=0.22t2£¨ÔÚ0.20t2-0.25t2Ö®¼ä¾ùÕýÈ·£©
m=0.22t2£¨ÔÚ0.20t2-0.25t2Ö®¼ä¾ùÕýÈ·£©
£®
ÎÒ¹ú·¢ÉäµÄ¡°æÏ¶ðÒ»ºÅ¡±Ì½ÔÂÎÀÐÇ£¬ÊµÏÖÁ˹úÈ˰ÙÄê±¼ÔµÄÃÎÏ룮
£¨1£©Èçͼ1ÊÇijͬѧ¶Ô¡°æÏ¶ðÒ»ºÅ¡±Ì½ÔÂÎÀÐÇÈÆÔÂÔËÐеĿÉÄܹìµÀµÄ²ÂÏ룬ÆäÖв»¿ÉÄÜʵÏÖµÄÊÇÄĸöͼ¶ÔÓ¦µÄ¹ìµÀ£¬ÄãµÄÀíÓÉÊÇʲô£¿

¾«Ó¢¼Ò½ÌÍø

£¨2£©Èç¹ûÓԱÔÚÔÂÇò±íÃæÉÏ£¬²â³öСÎï¿é×ÔÓÉÏÂÂäh¸ß¶ÈËùÓõÄʱ¼äΪt£»²â³öÈÆÔÂÎÀÐÇÔÚ¿¿½üÔÂÇò±íÃæÔ²¹ìµÀÉÏ·ÉÐÐʱµÄÖÜÆÚÊÇT£¬ÒÑÖªÍòÓÐÒýÁ¦³£Á¿ÎªG£®ÇëÄãÓÃÉÏÊö¸÷Á¿ÍƵ¼³öÔÂÇòÖÊÁ¿µÄ±í´ïʽ£®
£¨3£©Ä³Ñ§Ð£ÎïÀíÐËȤС×éÑо¿¡°æÏ¶ðÒ»ºÅ¡±Ì½ÔÂÎÀÐǵķ¢ÉäºÍÔËÐÐÇé¿öʱ²ÂÏ룺ÎÀÐÇÒª°ÑÅÄÉãµ½µÄ¸÷ÖÖͼƬÐÅÏ¢£¬³ÖÐø²»¶ÏµØÓÃ΢²¨·¢»ØµØÃæÊ±£¬ÓÉÓÚÔÂÇòµÄÕÚµ²£¬ÔÚµØÇòÉÏ×ÜÓÐÒ»¶Îʱ¼ä½ÓÊÕ²»µ½ÎÀÐÇ·¢À´µÄ΢²¨Ðźţ®ÎªÁËÑéÖ¤×Ô¼ºµÄ²ÂÏ룬ËûÃÇÉè¼ÆÁËÈçͼ2ËùʾµÄµçÄÔÄ£ÄâʵÑ飺¹Ì¶¨µØÇòºÍÔÂÇòÄ£ÐÍ£¬ÈÃÎÀÐÇÈÆÔÂÐýת£¬ÔÚµØÇòÉϰ²×°Î¢²¨½ÓÊÕÆ÷£¬Ö¤ÊµÁËËûÃǵIJÂÏëÊÇÕýÈ·µÄ£®
ÔÚʵÑéÖÐËûÃÇÉè¼ÆºÍ²âÁ¿µÄ¸÷ÀàÊý¾ÝÊÇ£ºµØÇò¡¢ÔÂÇòºÍÎÀÐǵÄÖÊÁ¿·Ö±ðΪmµØ¡¢mÔºÍmÎÀ£¬ÎÀÐÇÈÆÔÂÇòÔËÐеÄÖÜÆÚΪT£¬¹ìµÀ°ë¾¶ÎªrÎÀ=2r£¬µØÇòºÍÔÂÇòµÄ°ë¾¶·Ö±ðΪrµØ=3rºÍrÔÂ=r£¬µØÇòÓëÔÂÇòÖ®¼äµÄÖÊÐľàÀëΪL=180r£®ÇëÄãÇó³ö£ºÔÚÕâ¸öÄ£ÄâʵÑéÖУ¬ÎÀÐÇÈÆÔÂÇòÔËÐÐÒ»¸öÖÜÆÚµÄʱ¼äÄÚ£¬µØÇò²»ÄܽÓÊÕµ½ÎÀÐÇ·¢ÉäµÄ΢²¨ÐźŵÄʱ¼ä£¨ÍòÓÐÒýÁ¦ºãÁ¿ÎªG£¬cos89¡ã=
1
90
£©£®
ÎÒ¹ú·¢ÉäµÄ¡°æÏ¶ðÒ»ºÅ¡±Ì½ÔÂÎÀÐÇ£¬ÊµÏÖÁ˹úÈ˰ÙÄê±¼ÔµÄÃÎÏ룮
£¨1£©Èçͼ1ÊÇijͬѧ¶Ô¡°æÏ¶ðÒ»ºÅ¡±Ì½ÔÂÎÀÐÇÈÆÔÂÔËÐеĿÉÄܹìµÀµÄ²ÂÏ룬ÆäÖв»¿ÉÄÜʵÏÖµÄÊÇÄĸöͼ¶ÔÓ¦µÄ¹ìµÀ£¬ÄãµÄÀíÓÉÊÇʲô£¿

£¨2£©Èç¹ûÓԱÔÚÔÂÇò±íÃæÉÏ£¬²â³öСÎï¿é×ÔÓÉÏÂÂäh¸ß¶ÈËùÓõÄʱ¼äΪt£»²â³öÈÆÔÂÎÀÐÇÔÚ¿¿½üÔÂÇò±íÃæÔ²¹ìµÀÉÏ·ÉÐÐʱµÄÖÜÆÚÊÇT£¬ÒÑÖªÍòÓÐÒýÁ¦³£Á¿ÎªG£®ÇëÄãÓÃÉÏÊö¸÷Á¿ÍƵ¼³öÔÂÇòÖÊÁ¿µÄ±í´ïʽ£®
£¨3£©Ä³Ñ§Ð£ÎïÀíÐËȤС×éÑо¿¡°æÏ¶ðÒ»ºÅ¡±Ì½ÔÂÎÀÐǵķ¢ÉäºÍÔËÐÐÇé¿öʱ²ÂÏ룺ÎÀÐÇÒª°ÑÅÄÉãµ½µÄ¸÷ÖÖͼƬÐÅÏ¢£¬³ÖÐø²»¶ÏµØÓÃ΢²¨·¢»ØµØÃæÊ±£¬ÓÉÓÚÔÂÇòµÄÕÚµ²£¬ÔÚµØÇòÉÏ×ÜÓÐÒ»¶Îʱ¼ä½ÓÊÕ²»µ½ÎÀÐÇ·¢À´µÄ΢²¨Ðźţ®ÎªÁËÑéÖ¤×Ô¼ºµÄ²ÂÏ룬ËûÃÇÉè¼ÆÁËÈçͼ2ËùʾµÄµçÄÔÄ£ÄâʵÑ飺¹Ì¶¨µØÇòºÍÔÂÇòÄ£ÐÍ£¬ÈÃÎÀÐÇÈÆÔÂÐýת£¬ÔÚµØÇòÉϰ²×°Î¢²¨½ÓÊÕÆ÷£¬Ö¤ÊµÁËËûÃǵIJÂÏëÊÇÕýÈ·µÄ£®
ÔÚʵÑéÖÐËûÃÇÉè¼ÆºÍ²âÁ¿µÄ¸÷ÀàÊý¾ÝÊÇ£ºµØÇò¡¢ÔÂÇòºÍÎÀÐǵÄÖÊÁ¿·Ö±ðΪmµØ¡¢mÔºÍmÎÀ£¬ÎÀÐÇÈÆÔÂÇòÔËÐеÄÖÜÆÚΪT£¬¹ìµÀ°ë¾¶ÎªrÎÀ=2r£¬µØÇòºÍÔÂÇòµÄ°ë¾¶·Ö±ðΪrµØ=3rºÍrÔÂ=r£¬µØÇòÓëÔÂÇòÖ®¼äµÄÖÊÐľàÀëΪL=180r£®ÇëÄãÇó³ö£ºÔÚÕâ¸öÄ£ÄâʵÑéÖУ¬ÎÀÐÇÈÆÔÂÇòÔËÐÐÒ»¸öÖÜÆÚµÄʱ¼äÄÚ£¬µØÇò²»ÄܽÓÊÕµ½ÎÀÐÇ·¢ÉäµÄ΢²¨ÐźŵÄʱ¼ä£¨ÍòÓÐÒýÁ¦ºãÁ¿ÎªG£¬£©£®

Î¥·¨ºÍ²»Á¼ÐÅÏ¢¾Ù±¨µç»°£º027-86699610 ¾Ù±¨ÓÊÏ䣺58377363@163.com

¾«Ó¢¼Ò½ÌÍø