题目内容
某网站报道:最近东亚某国发射了一颗人造环月卫星,卫星质量100kg,环绕周期2h…一位同学想利用所学的物理知识对此新闻的真实性进行核实.但他记不清引力恒量的数值且手边没有可查找的资料,只记得一科普材料上介绍的月球半径约为地球半径的
【答案】分析:卫星做匀速圆周运动,万有引力提供向心力,根据向心力公式列式列出等式;
在月球表面由万有引力等于重力列出等式.
在新闻中谈到了卫星的周期,所以我们应该根据已知量求出周期的最小值去进行判断.
解答:解:设月球质量为M,半径为r,卫星的质量为m,环绕周期为T,半径为r.?
根据引力提供向心力得:
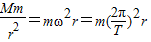
有 G
?得 T=2π
(1)
在月球表面有?G
代入(1)式得 T=2π
(2)?
由(2)式可知,卫星轨道半径r越小,周期T则越短,取r=r?
周期有最小值Tmin?
?Tmin=2π
(3)?
据题意,r地=4r,g地=6g月
代入(3)式得:Tmin=2π
=6000 s≈1.7 h
可知,环绕月球做匀速圆周运动的卫星的运行周期大于等于1.7 h,而网站新闻所说的环月卫星的周期为2 h,故据此无法认定这条新闻的真假.
答:环绕月球做匀速圆周运动的卫星的运行周期大于等于1.7 h,而网站新闻所说的环月卫星的周期为2 h,故据此无法认定这条新闻的真假.
点评:解决本题的关键掌握万有引力等于重力,知道卫星在月球表面轨道做圆周运动,靠万有引力提供向心力,两式结合求出最小周期进行判断.
在月球表面由万有引力等于重力列出等式.
在新闻中谈到了卫星的周期,所以我们应该根据已知量求出周期的最小值去进行判断.
解答:解:设月球质量为M,半径为r,卫星的质量为m,环绕周期为T,半径为r.?
根据引力提供向心力得:
有 G
?得 T=2π
在月球表面有?G
代入(1)式得 T=2π
由(2)式可知,卫星轨道半径r越小,周期T则越短,取r=r?
周期有最小值Tmin?
?Tmin=2π
据题意,r地=4r,g地=6g月
代入(3)式得:Tmin=2π
可知,环绕月球做匀速圆周运动的卫星的运行周期大于等于1.7 h,而网站新闻所说的环月卫星的周期为2 h,故据此无法认定这条新闻的真假.
答:环绕月球做匀速圆周运动的卫星的运行周期大于等于1.7 h,而网站新闻所说的环月卫星的周期为2 h,故据此无法认定这条新闻的真假.
点评:解决本题的关键掌握万有引力等于重力,知道卫星在月球表面轨道做圆周运动,靠万有引力提供向心力,两式结合求出最小周期进行判断.
练习册系列答案
相关题目