题目内容

侦察卫星在通过地球两极上空的圆轨道上运行,它的运行轨道距地面高度为h,要使卫星在一天的时间内将地面上赤道各处在日照条件下的情况全都拍摄下来,卫星在通过赤道上空时,卫星上的摄像机至少应拍摄地面上赤道圆周的弧长是多少?。设地球的半径为R,地面处的重力加速度为g,地球自转的周期为T。

答案:
解析:

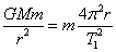
侦察卫星绕地球做匀速圆周运动的周期设为T1,有

地面处的重力加速度为g,有

得到卫星的周期T1=

其中r=h+R

如图4-15所示,地球的赤道所在平面,卫星在日照条件下通过赤道上空时,距地面h远。地球自转的周期为T,在卫星绕行一周时,地球自转转过的角度为摄像机应拍摄赤道圆周的弧长为s=


练习册系列答案
相关题目

违法和不良信息举报电话:027-86699610 举报邮箱:58377363@163.com

精英家教网