题目内容
一个质量为4kg的物体静止在足够大的光滑水平地面上.从t=0开始,物体受到一个大小和方向呈周期性变化的水平力F作用,力F随时间的变化规律如图所示.则( )A.t=2s时物体沿负方向运动的位移最大
B.t=4s时物体运动的位移达最小值
C.每个周期内物体的速度变化为一定值
D.4s后相邻的两个周期内物体的位移之差为一定值
【答案】分析:物体受到周期性变化的力作用,根据牛顿第二定律,分析一个周期内物体的运动情况,就能判断出2s、4s末时位移的情况,以及每个周期内速度变化量是否为定值.
解答:
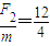
解:A、t=0时物体静止,0∽2s内物体向负方向做匀加速运动,加速度大小a1=
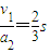
/s2=1m/s2,2s时速度大小为v1=a1t1=2m/s,位移大小为x1=
=2m.2s后,力反向,而物体由于惯性,继续向负方向做匀减速运动,加速度大小为a2=
m/s2=3m/s2,经过时间t2=
速度为零,在
4s内,物体向正方向做加速度大小为a2匀加速运动,4s末速度为v3=a2t3=3×
=4m/s,作出速度-时间图象如图.由图知,物体在
末沿负方向运动的位移最大.故A错误.
B、由图得到4s末位移为0,4s后物体的位移一直增大,所以为最小.故B正确.
C、由图读出,每个周期内速度变化量大小均为为4m/s,故C正确.
D、由图“面积”表示位移,可读出4s后相邻的两个周期内物体的位移之差为16m,为定值.故D正确
故选BCD
点评:本题物体受到周期性变化的力作用,运动过程比较复杂,如画v-t图象分析,形象直观,简单明了.这也物理常用的方法.
解答:
解:A、t=0时物体静止,0∽2s内物体向负方向做匀加速运动,加速度大小a1=
B、由图得到4s末位移为0,4s后物体的位移一直增大,所以为最小.故B正确.
C、由图读出,每个周期内速度变化量大小均为为4m/s,故C正确.
D、由图“面积”表示位移,可读出4s后相邻的两个周期内物体的位移之差为16m,为定值.故D正确
故选BCD
点评:本题物体受到周期性变化的力作用,运动过程比较复杂,如画v-t图象分析,形象直观,简单明了.这也物理常用的方法.
练习册系列答案
相关题目