题目内容
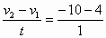
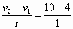
一物体做匀变速直线运动,某时刻速度大小为4 m/s,1 s后的大小变为10 m/s,设初速度方向为正,则在这1 s内该物体的加速度是
A.6 m/s2
B.-6 m/s2
C.14 m/s2
D.-14 m/s2
答案:AD
解析:
解析:
|
当v2与v1同向时,a1= 当v2与v1反向时,a2= |
练习册系列答案
相关题目