题目内容

A球自塔顶自由落下,当落下1m时,B球自塔顶下方距塔顶7m处开始自由下落,两球恰好同时落地,则塔高为多少?(g取)

答案:16m
解析:

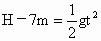
如图,设塔高为HB下落时间为tA下落1m时速度为

则有:①,②,③.由①②③得H16m

充分利用题给条件,画图表示物理过程是常用的一种解题方法.


练习册系列答案
相关题目

违法和不良信息举报电话:027-86699610 举报邮箱:58377363@163.com

精英家教网