ÌâÄ¿ÄÚÈÝ

ÈçͼËùʾ£¬ÔÚÖ±½Ç×ø±êϵxoyµÄµÚÒ»¡¢ËÄÏóÏÞÖÐx¡ÝLµÄÇøÓòÄÚ´æÔÚÓнçµÄÔÈÇ¿´Å³¡£¬·½Ïò´¹Ö±Ö½ÃæÏòÍ⣻ÔÚµÚÈýÏóÏÞ´æÔÚÑØyÖáÕýÏòµÄÔÈÇ¿µç³¡£®Ò»ÖÊÁ¿Îªm´øµçÁ¿Îª£«qµÄ´øµçÁ£×Ӵӵ糡ÖÐ×ø±êΪ(£­2L£¬£­L)µÄµãÒÔËÙ¶Èv0ÑØ£«x·½ÏòÉä³ö£¬Ç¡ºÃ¾­¹ý×ø±êÔ­µãO´¦ºóÉäÈë´Å³¡ÇøÓò£¬×îºó´øµçÁ£×ÓÄÜÔٴλص½×ø±êÔ­µãO(Á£×ÓµÄÖØÁ¦ºöÂÔ²»¼Æ)£®Çó

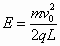
(1)µÚÈýÏóÏÞÔÈÇ¿µç³¡³¡Ç¿EµÄ´óС£»

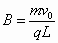
(2)ÔÈÇ¿´Å³¡µÄ´Å¸ÐӦǿ¶ÈBµÄ´óС£»

(3)´øµçÁ£×ÓÁ½´Î¾­¹ý×ø±êÔ­µãOµÄʱ¼ä¼ä¸ôΪ¶àÉÙ£®

´ð°¸£º
½âÎö£º

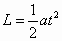
¡¡¡¡(1)ÑØÖá·½Ïò

¡¡¡¡¡¡¢Ù

¡¡¡¡ÑØÖá·½Ïò

¡¡¡¡¡¡¢Ú

¡¡¡¡¸ù¾ÝÅ£¶ÙµÚ¶þ¶¨ÂÉ

¡¡¡¡¡¡¢Û

¡¡¡¡ÓÉ¢Ù¢Ú¢ÛʽµÃ

¡¡¡¡

¡¡¡¡(2)Öá·½ÏòµÄËÙ¶È

¡¡¡¡¡¡¢Ü

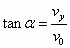
¡¡¡¡ËٶȺÍÖá·½ÏòµÄ¼Ð½Ç

¡¡¡¡¡¡¢Ý

¡¡¡¡Á£×ÓËÙ¶È

¡¡¡¡¡¡¢Þ

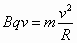
¡¡¡¡ÂåÂ××ÈÁ¦³äµ±ÏòÐÄÁ¦£¬ÓÉÅ£¶ÙµÚ¶þ¶¨ÂÉ

¡¡¡¡¡¡¢ß

¡¡¡¡Óɼ¸ºÎ¹ØÏµÓÐ

¡¡¡¡¡¡¢à

¡¡¡¡ÓɢܢݢޢߢàʽµÃ

¡¡¡¡¡¡

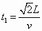
¡¡¡¡(3)´Óµ½ÉäÈë´Å³¡

¡¡¡¡¡¡¢á

¡¡¡¡Ôڴų¡ÖÐÔ˶¯µÄʱ¼ä

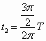
¡¡¡¡¡¡¢â

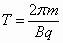
¡¡¡¡Á£×ÓÔڴų¡ÖÐÔ˶¯µÄÖÜÆÚ

¡¡¡¡¡¡

¡¡¡¡´øµçÁ£×ÓÁ½´Î¾­¹ý×ø±êÔ­µãOµÄʱ¼ä¼ä¸ô

¡¡¡¡

¡¡¡¡ÓÉ¢á¢âʽµÃ

¡¡¡¡

¡¡¡¡ÆÀ·Ö±ê×¼£º¢Ù¢Ú¢Ûʽ¸÷1·Ö£¬½á¹û2·Ö£»¢Ü¢Ý¢Þʽ¸÷1·Ö£¬¢ß¢àʽ¸÷2·Ö£¬½á¹û1·Ö£»¢á¢âʽ¸÷1·Ö£¬½á¹û1·Ö£»¹²¼Æ18·Ö£®


Á·Ï°²áϵÁдð°¸
Ïà¹ØÌâÄ¿

Î¥·¨ºÍ²»Á¼ÐÅÏ¢¾Ù±¨µç»°£º027-86699610 ¾Ù±¨ÓÊÏ䣺58377363@163.com

¾«Ó¢¼Ò½ÌÍø