题目内容
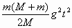
如图所示,质量为M的直木棒悬挂在O点,一只质量为m的猴子抓住木棒.剪断悬挂木棒的细绳,木棒开始下落,同时猴子开始沿木棒向上爬.设在猴子与木棒接触的时间内木棒沿竖直方向下落,并且猴子相对于地面的高度保持不变,忽略空气阻力.从剪断细绳起计时,若猴子沿木棒向上爬了时间t,则在这段时间内木棒的机械能的改变量为________,在t时刻猴子做功的功率为________.
![]()
答案:
解析:
解析:
|
|
练习册系列答案
相关题目
| A、地面对楔形物块的支持力为(M+m)g | B、地面对楔形物块的摩擦力为零 | C、楔形物块对小物块摩擦力可能为零 | D、小物块一定受到四个力作用 |