题目内容

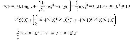
质量4.0×103kg的汽车开上一山坡。汽车沿山坡每前进100m,其高度升高2m。上坡时汽车速度为5m/s,沿山坡行驶500m后速度变为10m/s。已知车行驶中所受阻力大小是车重的0.01倍,试求:(1)此过程中汽车所受牵引力做功多少?(2)汽车所受平均牵引力多大?取g10m/s2。本题要求用物体机械能变化规律求解。

 

答案:见详解
解析:

取汽车开始时所在位置为参考平面,应用物体机械能变化规律WE2-E1解题时,要着重分析清楚重力、弹力以外其它力对物体所做的功,以及此过程中物体机械能的变化。这既是应用此规律解题的基本要求,也是与应用动能定理解题的重要区别。

 


提示:

考查功与能的关系。


练习册系列答案
相关题目

违法和不良信息举报电话:027-86699610 举报邮箱:58377363@163.com

精英家教网