题目内容
举世瞩目的“神舟”六号航天飞船的成功发射和顺利返回,显示了我国航天事业取得的巨大成就.已知地球的质量为M,引力常量为G,设飞船绕地球做匀速圆周运动的轨道半径为r,则飞船在圆轨道上运行的速率为( )A.
B.
C.
D.
【答案】分析:研究飞船绕地球做匀速圆周运动,根据万有引力提供向心力,列出等式.
根据等式表示出飞船在圆轨道上运行的速率.
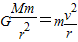
解答:解:研究飞船绕地球做匀速圆周运动,根据万有引力提供向心力,列出等式:

解得:v=
故选A
点评:向心力的公式选取要根据题目提供的已知物理量或所求解的物理量选取应用.
根据等式表示出飞船在圆轨道上运行的速率.
解答:解:研究飞船绕地球做匀速圆周运动,根据万有引力提供向心力,列出等式:
解得:v=
故选A
点评:向心力的公式选取要根据题目提供的已知物理量或所求解的物理量选取应用.
练习册系列答案
相关题目