题目内容

一物体沿固定斜面从静止开始向下运动,经过时间滑到斜面底端。已知物体在运动过程中所受摩擦力恒定,若用和E分别表示物体的加速度、速度、位移和机械能,则下列图像中可能正确的是

 

 

【答案】

 ABD

【解析】

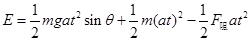
试题分析:物体沿斜面下滑,做匀加速直线运动,,可看出加速度a不随时间变化,A选项正确;由得出,B选项正确;由,得,C选项错误;机械能带入解得,由于阻力做负功,机械能减小,所以,故D选项正确。

考点:牛顿第二定律 匀变速直线运动规律 机械能 图象物理意义

 

练习册系列答案
相关题目

第三部分 运动学

第一讲 基本知识介绍

一. 基本概念

1.  质点

2.  参照物

3.  参照系——固连于参照物上的坐标系(解题时要记住所选的是参照系,而不仅是一个点)

4.绝对运动,相对运动,牵连运动:v=v+v 

二.运动的描述

1.位置:r=r(t) 

2.位移:Δr=r(t+Δt)-r(t)

3.速度:v=limΔt→0Δr/Δt.在大学教材中表述为:v=dr/dt, 表示r对t 求导数

5.以上是运动学中的基本物理量,也就是位移、位移的一阶导数、位移的二阶导数。可是

三阶导数为什么不是呢?因为牛顿第二定律是F=ma,即直接和加速度相联系。(a对t的导数叫“急动度”。)

6.由于以上三个量均为矢量,所以在运算中用分量表示一般比较好

三.等加速运动

v(t)=v0+at           r(t)=r0+v0t+1/2 at

 一道经典的物理问题:二次世界大战中物理学家曾经研究,当大炮的位置固定,以同一速度v0沿各种角度发射,问:当飞机在哪一区域飞行之外时,不会有危险?(注:结论是这一区域为一抛物线,此抛物线是所有炮弹抛物线的包络线。此抛物线为在大炮上方h=v2/2g处,以v0平抛物体的轨迹。) 

练习题:

一盏灯挂在离地板高l2,天花板下面l1处。灯泡爆裂,所有碎片以同样大小的速度v 朝各个方向飞去。求碎片落到地板上的半径(认为碎片和天花板的碰撞是完全弹性的,即切向速度不变,法向速度反向;碎片和地板的碰撞是完全非弹性的,即碰后静止。)

四.刚体的平动和定轴转动

1. 我们讲过的圆周运动是平动而不是转动 

  2.  角位移φ=φ(t), 角速度ω=dφ/dt , 角加速度ε=dω/dt

 3.  有限的角位移是标量,而极小的角位移是矢量

4.  同一刚体上两点的相对速度和相对加速度 

两点的相对距离不变,相对运动轨迹为圆弧,VA=VB+VAB,在AB连线上

投影:[VA]AB=[VB]AB,aA=aB+aAB,aAB=,anAB+,aτAB, ,aτAB垂直于AB,,anAB=VAB2/AB 

例:A,B,C三质点速度分别V,VB  ,VC      

求G的速度。

五.课后习题:

一只木筏离开河岸,初速度为V,方向垂直于岸边,航行路线如图。经过时间T木筏划到路线上标有符号处。河水速度恒定U用作图法找到在2T,3T,4T时刻木筏在航线上的确切位置。

五、处理问题的一般方法

(1)用微元法求解相关速度问题

例1:如图所示,物体A置于水平面上,A前固定一滑轮B,高台上有一定滑轮D,一根轻绳一端固定在C点,再绕过B、D,BC段水平,当以恒定水平速度v拉绳上的自由端时,A沿水平面前进,求当跨过B的两段绳子的夹角为α时,A的运动速度。

(vA

(2)抛体运动问题的一般处理方法

  1. 平抛运动
  2. 斜抛运动
  3. 常见的处理方法

(1)将斜上抛运动分解为水平方向的匀速直线运动和竖直方向的竖直上抛运动

(2)将沿斜面和垂直于斜面方向作为x、y轴,分别分解初速度和加速度后用运动学公式解题

(3)将斜抛运动分解为沿初速度方向的斜向上的匀速直线运动和自由落体运动两个分运动,用矢量合成法则求解

例2:在掷铅球时,铅球出手时距地面的高度为h,若出手时的速度为V0,求以何角度掷球时,水平射程最远?最远射程为多少?

(α=、 x=

第二讲 运动的合成与分解、相对运动

(一)知识点点拨

  1. 力的独立性原理:各分力作用互不影响,单独起作用。
  2. 运动的独立性原理:分运动之间互不影响,彼此之间满足自己的运动规律
  3. 力的合成分解:遵循平行四边形定则,方法有正交分解,解直角三角形等
  4. 运动的合成分解:矢量合成分解的规律方法适用
    1. 位移的合成分解 B.速度的合成分解 C.加速度的合成分解

参考系的转换:动参考系,静参考系

相对运动:动点相对于动参考系的运动

绝对运动:动点相对于静参考系统(通常指固定于地面的参考系)的运动

牵连运动:动参考系相对于静参考系的运动

(5)位移合成定理:SA对地=SAB+SB对地

速度合成定理:V绝对=V相对+V牵连

加速度合成定理:a绝对=a相对+a牵连

(二)典型例题

(1)火车在雨中以30m/s的速度向南行驶,雨滴被风吹向南方,在地球上静止的观察者测得雨滴的径迹与竖直方向成21角,而坐在火车里乘客看到雨滴的径迹恰好竖直方向。求解雨滴相对于地的运动。

提示:矢量关系入图

答案:83.7m/s

(2)某人手拿一只停表,上了一次固定楼梯,又以不同方式上了两趟自动扶梯,为什么他可以根据测得的数据来计算自动扶梯的台阶数?

提示:V人对梯=n1/t1

      V梯对地=n/t2

      V人对地=n/t3

V人对地= V人对梯+ V梯对地

答案:n=t2t3n1/(t2-t3)t1

(3)某人驾船从河岸A处出发横渡,如果使船头保持跟河岸垂直的方向航行,则经10min后到达正对岸下游120m的C处,如果他使船逆向上游,保持跟河岸成а角的方向航行,则经过12.5min恰好到达正对岸的B处,求河的宽度。

提示:120=V水*600

        D=V船*600

 答案:200m

(4)一船在河的正中航行,河宽l=100m,流速u=5m/s,并在距船s=150m的下游形成瀑布,为了使小船靠岸时,不至于被冲进瀑布中,船对水的最小速度为多少?

提示:如图船航行

答案:1.58m/s

(三)同步练习

1.一辆汽车的正面玻璃一次安装成与水平方向倾斜角为β1=30°,另一次安装成倾角为β2=15°。问汽车两次速度之比为多少时,司机都是看见冰雹都是以竖直方向从车的正面玻璃上弹开?(冰雹相对地面是竖直下落的)

2、模型飞机以相对空气v=39km/h的速度绕一个边长2km的等边三角形飞行,设风速u = 21km/h ,方向与三角形的一边平行并与飞机起飞方向相同,试求:飞机绕三角形一周需多少时间?

3.图为从两列蒸汽机车上冒出的两股长幅气雾拖尾的照片(俯视)。两列车沿直轨道分别以速度v1=50km/h和v2=70km/h行驶,行驶方向如箭头所示,求风速。

4、细杆AB长L ,两端分别约束在x 、 y轴上运动,(1)试求杆上与A点相距aL(0< a <1)的P点运动轨迹;(2)如果vA为已知,试求P点的x 、 y向分速度vPx和vPy对杆方位角θ的函数。

(四)同步练习提示与答案

1、提示:利用速度合成定理,作速度的矢量三角形。答案为:3。

2、提示:三角形各边的方向为飞机合速度的方向(而非机头的指向);

第二段和第三段大小相同。

参见右图,显然:

v2 =  + u2 - 2vucos120°

可解出 v = 24km/h 。

答案:0.2hour(或12min.)。

3、提示:方法与练习一类似。答案为:3

4、提示:(1)写成参数方程后消参数θ。

(2)解法有讲究:以A端为参照, 则杆上各点只绕A转动。但鉴于杆子的实际运动情形如右图,应有v = vAcosθ,v = vA,可知B端相对A的转动线速度为:v + vAsinθ=  

P点的线速度必为  = v 

所以 vPx = vcosθ+ vAx ,vPy = vAy - vsinθ

答案:(1) +  = 1 ,为椭圆;(2)vPx = avActgθ ,vPy =(1 - a)vA

第一部分  力&物体的平衡

第一讲 力的处理

一、矢量的运算

1、加法

表达: +  =  

名词:为“和矢量”。

法则:平行四边形法则。如图1所示。

和矢量大小:c =  ,其中α为的夹角。

和矢量方向:之间,和夹角β= arcsin

2、减法

表达: =  

名词:为“被减数矢量”,为“减数矢量”,为“差矢量”。

法则:三角形法则。如图2所示。将被减数矢量和减数矢量的起始端平移到一点,然后连接两时量末端,指向被减数时量的时量,即是差矢量。

差矢量大小:a =  ,其中θ为的夹角。

差矢量的方向可以用正弦定理求得。

一条直线上的矢量运算是平行四边形和三角形法则的特例。

例题:已知质点做匀速率圆周运动,半径为R ,周期为T ,求它在T内和在T内的平均加速度大小。

解说:如图3所示,A到B点对应T的过程,A到C点对应T的过程。这三点的速度矢量分别设为

根据加速度的定义 得:

由于有两处涉及矢量减法,设两个差矢量   ,根据三角形法则,它们在图3中的大小、方向已绘出(的“三角形”已被拉伸成一条直线)。

本题只关心各矢量的大小,显然:

 =  =  =  ,且: =   = 2

所以: =  =   =  =  

(学生活动)观察与思考:这两个加速度是否相等,匀速率圆周运动是不是匀变速运动?

答:否;不是。

3、乘法

矢量的乘法有两种:叉乘和点乘,和代数的乘法有着质的不同。

⑴ 叉乘

表达:× = 

名词:称“矢量的叉积”,它是一个新的矢量。

叉积的大小:c = absinα,其中α为的夹角。意义:的大小对应由作成的平行四边形的面积。

叉积的方向:垂直确定的平面,并由右手螺旋定则确定方向,如图4所示。

显然,××,但有:×= -×

⑵ 点乘

表达:· = c

名词:c称“矢量的点积”,它不再是一个矢量,而是一个标量。

点积的大小:c = abcosα,其中α为的夹角。

二、共点力的合成

1、平行四边形法则与矢量表达式

2、一般平行四边形的合力与分力的求法

余弦定理(或分割成RtΔ)解合力的大小

正弦定理解方向

三、力的分解

1、按效果分解

2、按需要——正交分解

第二讲 物体的平衡

一、共点力平衡

1、特征:质心无加速度。

2、条件:Σ = 0 ,或  = 0 , = 0

例题:如图5所示,长为L 、粗细不均匀的横杆被两根轻绳水平悬挂,绳子与水平方向的夹角在图上已标示,求横杆的重心位置。

解说:直接用三力共点的知识解题,几何关系比较简单。

答案:距棒的左端L/4处。

(学生活动)思考:放在斜面上的均质长方体,按实际情况分析受力,斜面的支持力会通过长方体的重心吗?

解:将各处的支持力归纳成一个N ,则长方体受三个力(G 、f 、N)必共点,由此推知,N不可能通过长方体的重心。正确受力情形如图6所示(通常的受力图是将受力物体看成一个点,这时,N就过重心了)。

答:不会。

二、转动平衡

1、特征:物体无转动加速度。

2、条件:Σ= 0 ,或ΣM+ =ΣM- 

如果物体静止,肯定会同时满足两种平衡,因此用两种思路均可解题。

3、非共点力的合成

大小和方向:遵从一条直线矢量合成法则。

作用点:先假定一个等效作用点,然后让所有的平行力对这个作用点的和力矩为零。

第三讲 习题课

1、如图7所示,在固定的、倾角为α斜面上,有一块可以转动的夹板(β不定),夹板和斜面夹着一个质量为m的光滑均质球体,试求:β取何值时,夹板对球的弹力最小。

解说:法一,平行四边形动态处理。

对球体进行受力分析,然后对平行四边形中的矢量G和N1进行平移,使它们构成一个三角形,如图8的左图和中图所示。

由于G的大小和方向均不变,而N1的方向不可变,当β增大导致N2的方向改变时,N2的变化和N1的方向变化如图8的右图所示。

显然,随着β增大,N1单调减小,而N2的大小先减小后增大,当N2垂直N1时,N2取极小值,且N2min = Gsinα。

法二,函数法。

看图8的中间图,对这个三角形用正弦定理,有:

 =  ,即:N2 =  ,β在0到180°之间取值,N2的极值讨论是很容易的。

答案:当β= 90°时,甲板的弹力最小。

2、把一个重为G的物体用一个水平推力F压在竖直的足够高的墙壁上,F随时间t的变化规律如图9所示,则在t = 0开始物体所受的摩擦力f的变化图线是图10中的哪一个?

解说:静力学旨在解决静态问题和准静态过程的问题,但本题是一个例外。物体在竖直方向的运动先加速后减速,平衡方程不再适用。如何避开牛顿第二定律,是本题授课时的难点。

静力学的知识,本题在于区分两种摩擦的不同判据。

水平方向合力为零,得:支持力N持续增大。

物体在运动时,滑动摩擦力f = μN ,必持续增大。但物体在静止后静摩擦力f′≡ G ,与N没有关系。

对运动过程加以分析,物体必有加速和减速两个过程。据物理常识,加速时,f < G ,而在减速时f > G 。

答案:B 。

3、如图11所示,一个重量为G的小球套在竖直放置的、半径为R的光滑大环上,另一轻质弹簧的劲度系数为k ,自由长度为L(L<2R),一端固定在大圆环的顶点A ,另一端与小球相连。环静止平衡时位于大环上的B点。试求弹簧与竖直方向的夹角θ。

解说:平行四边形的三个矢量总是可以平移到一个三角形中去讨论,解三角形的典型思路有三种:①分割成直角三角形(或本来就是直角三角形);②利用正、余弦定理;③利用力学矢量三角形和某空间位置三角形相似。本题旨在贯彻第三种思路。

分析小球受力→矢量平移,如图12所示,其中F表示弹簧弹力,N表示大环的支持力。

(学生活动)思考:支持力N可不可以沿图12中的反方向?(正交分解看水平方向平衡——不可以。)

容易判断,图中的灰色矢量三角形和空间位置三角形ΔAOB是相似的,所以:

                                   ⑴

由胡克定律:F = k(- R)                ⑵

几何关系:= 2Rcosθ                     ⑶

解以上三式即可。

答案:arccos 。

(学生活动)思考:若将弹簧换成劲度系数k′较大的弹簧,其它条件不变,则弹簧弹力怎么变?环的支持力怎么变?

答:变小;不变。

(学生活动)反馈练习:光滑半球固定在水平面上,球心O的正上方有一定滑轮,一根轻绳跨过滑轮将一小球从图13所示的A位置开始缓慢拉至B位置。试判断:在此过程中,绳子的拉力T和球面支持力N怎样变化?

解:和上题完全相同。

答:T变小,N不变。

4、如图14所示,一个半径为R的非均质圆球,其重心不在球心O点,先将它置于水平地面上,平衡时球面上的A点和地面接触;再将它置于倾角为30°的粗糙斜面上,平衡时球面上的B点与斜面接触,已知A到B的圆心角也为30°。试求球体的重心C到球心O的距离。

解说:练习三力共点的应用。

根据在平面上的平衡,可知重心C在OA连线上。根据在斜面上的平衡,支持力、重力和静摩擦力共点,可以画出重心的具体位置。几何计算比较简单。

答案:R 。

(学生活动)反馈练习:静摩擦足够,将长为a 、厚为b的砖块码在倾角为θ的斜面上,最多能码多少块?

解:三力共点知识应用。

答: 。

4、两根等长的细线,一端拴在同一悬点O上,另一端各系一个小球,两球的质量分别为m1和m2 ,已知两球间存在大小相等、方向相反的斥力而使两线张开一定角度,分别为45和30°,如图15所示。则m1 : m2??为多少?

解说:本题考查正弦定理、或力矩平衡解静力学问题。

对两球进行受力分析,并进行矢量平移,如图16所示。

首先注意,图16中的灰色三角形是等腰三角形,两底角相等,设为α。

而且,两球相互作用的斥力方向相反,大小相等,可用同一字母表示,设为F 。

对左边的矢量三角形用正弦定理,有:

 =          ①

同理,对右边的矢量三角形,有: =                                ②

解①②两式即可。

答案:1 : 。

(学生活动)思考:解本题是否还有其它的方法?

答:有——将模型看成用轻杆连成的两小球,而将O点看成转轴,两球的重力对O的力矩必然是平衡的。这种方法更直接、简便。

应用:若原题中绳长不等,而是l1 :l2 = 3 :2 ,其它条件不变,m1与m2的比值又将是多少?

解:此时用共点力平衡更加复杂(多一个正弦定理方程),而用力矩平衡则几乎和“思考”完全相同。

答:2 :3 。

5、如图17所示,一个半径为R的均质金属球上固定着一根长为L的轻质细杆,细杆的左端用铰链与墙壁相连,球下边垫上一块木板后,细杆恰好水平,而木板下面是光滑的水平面。由于金属球和木板之间有摩擦(已知摩擦因素为μ),所以要将木板从球下面向右抽出时,至少需要大小为F的水平拉力。试问:现要将木板继续向左插进一些,至少需要多大的水平推力?

解说:这是一个典型的力矩平衡的例题。

以球和杆为对象,研究其对转轴O的转动平衡,设木板拉出时给球体的摩擦力为f ,支持力为N ,重力为G ,力矩平衡方程为:

f R + N(R + L)= G(R + L)           

球和板已相对滑动,故:f = μN        ②

解①②可得:f = 

再看木板的平衡,F = f 。

同理,木板插进去时,球体和木板之间的摩擦f′=  = F′。

答案: 

第四讲 摩擦角及其它

一、摩擦角

1、全反力:接触面给物体的摩擦力与支持力的合力称全反力,一般用R表示,亦称接触反力。

2、摩擦角:全反力与支持力的最大夹角称摩擦角,一般用φm表示。

此时,要么物体已经滑动,必有:φm = arctgμ(μ为动摩擦因素),称动摩擦力角;要么物体达到最大运动趋势,必有:φms = arctgμs(μs为静摩擦因素),称静摩擦角。通常处理为φm = φms 

3、引入全反力和摩擦角的意义:使分析处理物体受力时更方便、更简捷。

二、隔离法与整体法

1、隔离法:当物体对象有两个或两个以上时,有必要各个击破,逐个讲每个个体隔离开来分析处理,称隔离法。

在处理各隔离方程之间的联系时,应注意相互作用力的大小和方向关系。

2、整体法:当各个体均处于平衡状态时,我们可以不顾个体的差异而讲多个对象看成一个整体进行分析处理,称整体法。

应用整体法时应注意“系统”、“内力”和“外力”的涵义。

三、应用

1、物体放在水平面上,用与水平方向成30°的力拉物体时,物体匀速前进。若此力大小不变,改为沿水平方向拉物体,物体仍能匀速前进,求物体与水平面之间的动摩擦因素μ。

解说:这是一个能显示摩擦角解题优越性的题目。可以通过不同解法的比较让学生留下深刻印象。

法一,正交分解。(学生分析受力→列方程→得结果。)

法二,用摩擦角解题。

引进全反力R ,对物体两个平衡状态进行受力分析,再进行矢量平移,得到图18中的左图和中间图(注意:重力G是不变的,而全反力R的方向不变、F的大小不变),φm指摩擦角。

再将两图重叠成图18的右图。由于灰色的三角形是一个顶角为30°的等腰三角形,其顶角的角平分线必垂直底边……故有:φm = 15°。

最后,μ= tgφm 

答案:0.268 。

(学生活动)思考:如果F的大小是可以选择的,那么能维持物体匀速前进的最小F值是多少?

解:见图18,右图中虚线的长度即Fmin ,所以,Fmin = Gsinφm 

答:Gsin15°(其中G为物体的重量)。

2、如图19所示,质量m = 5kg的物体置于一粗糙斜面上,并用一平行斜面的、大小F = 30N的推力推物体,使物体能够沿斜面向上匀速运动,而斜面体始终静止。已知斜面的质量M = 10kg ,倾角为30°,重力加速度g = 10m/s2 ,求地面对斜面体的摩擦力大小。

解说:

本题旨在显示整体法的解题的优越性。

法一,隔离法。简要介绍……

法二,整体法。注意,滑块和斜面随有相对运动,但从平衡的角度看,它们是完全等价的,可以看成一个整体。

做整体的受力分析时,内力不加考虑。受力分析比较简单,列水平方向平衡方程很容易解地面摩擦力。

答案:26.0N 。

(学生活动)地面给斜面体的支持力是多少?

解:略。

答:135N 。

应用:如图20所示,一上表面粗糙的斜面体上放在光滑的水平地面上,斜面的倾角为θ。另一质量为m的滑块恰好能沿斜面匀速下滑。若用一推力F作用在滑块上,使之能沿斜面匀速上滑,且要求斜面体静止不动,就必须施加一个大小为P = 4mgsinθcosθ的水平推力作用于斜面体。使满足题意的这个F的大小和方向。

解说:这是一道难度较大的静力学题,可以动用一切可能的工具解题。

法一:隔离法。

由第一个物理情景易得,斜面于滑块的摩擦因素μ= tgθ

对第二个物理情景,分别隔离滑块和斜面体分析受力,并将F沿斜面、垂直斜面分解成Fx和Fy ,滑块与斜面之间的两对相互作用力只用两个字母表示(N表示正压力和弹力,f表示摩擦力),如图21所示。

对滑块,我们可以考查沿斜面方向和垂直斜面方向的平衡——

Fx = f + mgsinθ

Fy + mgcosθ= N

且 f = μN = Ntgθ

综合以上三式得到:

Fx = Fytgθ+ 2mgsinθ               ①

对斜面体,只看水平方向平衡就行了——

P = fcosθ+ Nsinθ

即:4mgsinθcosθ=μNcosθ+ Nsinθ

代入μ值,化简得:Fy = mgcosθ      ②

②代入①可得:Fx = 3mgsinθ

最后由F =解F的大小,由tgα= 解F的方向(设α为F和斜面的夹角)。

答案:大小为F = mg,方向和斜面夹角α= arctg()指向斜面内部。

法二:引入摩擦角和整体法观念。

仍然沿用“法一”中关于F的方向设置(见图21中的α角)。

先看整体的水平方向平衡,有:Fcos(θ- α) = P                                   ⑴

再隔离滑块,分析受力时引进全反力R和摩擦角φ,由于简化后只有三个力(R、mg和F),可以将矢量平移后构成一个三角形,如图22所示。

在图22右边的矢量三角形中,有: =      ⑵

注意:φ= arctgμ= arctg(tgθ) = θ                                              ⑶

解⑴⑵⑶式可得F和α的值。

违法和不良信息举报电话:027-86699610 举报邮箱:58377363@163.com

精英家教网