题目内容

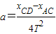
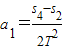
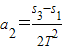
在“研究匀变速直线运动的规律”实验中,小车拖纸带运动,打点计时器在纸带上打出一系列点,从中确定五个记数点,每相邻两个记数点间的时间间隔是0.1s,用米尺测量出的数据如图所示.则小车在C点的速度VC=______m/s,小车运动的平均加速度a=______m/s2.(保留两位有效数字)
【答案】分析:作匀变速直线运动的物体在某一段时间内的平均速度等于该段时间内的中间时刻的速度;作匀变速直线运动的物体在连续相等的时间内通过的位移差等于恒量即△x=aT2
解答:解:根据物体在某一段时间内的平均速度等于该段时间内的中间时刻的速度有:

根据逐差法求加速度有:
    ①
    ②
    ③
联立①②③解得:=2.0m/s2
故答案为:1.9,2.0.
点评:利用逐差法测量加速度和利用平均速度求某一时刻的瞬时速度是我们处理纸带问题时常用的方法,一定要注意掌握.
练习册系列答案
相关题目

违法和不良信息举报电话:027-86699610 举报邮箱:58377363@163.com

精英家教网