题目内容

(12分)静止在匀强磁场中的原子核,俘获一个速度为7.7×104 m/s 的中子而发生核反应放出α粒子后变成一个新原子核,已知中子速度方向与磁场方向垂直,测得α粒子速度为:2×104m/s,方向与中子速度方向相同,求:

(1)生成的新核是什么?写出核反应方程式。

(2)生成的新核的速度大小和方向。

(3)若α粒子与新核间相互作用不计,则二者在磁场中运动轨道半径之比及周期之比各为多少?

 

【答案】

(1)氚核  (2),与速度方向与反应前中子速度方向相反(3)

【解析】

试题分析:(1)生成的新核是氚核,核反应方程式:

(2)由动量守恒定律

,与速度方向与反应前中子速度方向相反

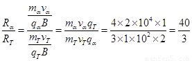
(3)两粒子均由洛伦兹力提供向心力,其半径之比:

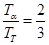
带电粒子在匀强磁场中做圆周运动的周期:,故这两个粒子的周期之比为:

考点:考查了核反应方程,动量守恒定律,以及带电粒子在匀强磁场中的运动

 

练习册系列答案
相关题目

违法和不良信息举报电话:027-86699610 举报邮箱:58377363@163.com

精英家教网