题目内容
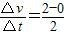
某物体运动的速度图象如图,根据图象可知( )A.0-2s内的加速度为1m/s2
B.0-5s内的位移为10m
C.第1s末与第3s末的速度方向相同
D.第1s末与第5s末的加速度方向相同
【答案】分析:速度图象的斜率等于物体的加速度大小.根据斜率的正负分析加速度的正负.图线与两个坐标轴所围“面积”等于位移.根据速度的正负判断速度的方向.
解答:解:A、由v-t图象知,0-2s内物体运动的速度为
=1m/s2,故A正确;
B、0-5s内的位移为7m,故B错误;
C、第1s末图象在时间轴上方,速度为正,第3s末速度图象也在时间轴上方,速度也为正,故方向相同,故C正确;
D、第1s内图线的斜率为正值,加速度沿正方向,而第5s内图线的斜率为负值,加速度方向沿负方向,则第1s内与第5s内物体的加速度方向相反.故D错误.
故选AC
点评:对于速度-时间图象要抓住两个数学意义来理解其物理意义:斜率等于加速度,“面积”等于位移
解答:解:A、由v-t图象知,0-2s内物体运动的速度为
B、0-5s内的位移为7m,故B错误;
C、第1s末图象在时间轴上方,速度为正,第3s末速度图象也在时间轴上方,速度也为正,故方向相同,故C正确;
D、第1s内图线的斜率为正值,加速度沿正方向,而第5s内图线的斜率为负值,加速度方向沿负方向,则第1s内与第5s内物体的加速度方向相反.故D错误.
故选AC
点评:对于速度-时间图象要抓住两个数学意义来理解其物理意义:斜率等于加速度,“面积”等于位移
练习册系列答案
相关题目
某物体运动的速度图象如图所示.根据图象可知( )

| A、0~2 s内的加速度为1.5 m/s2 | B、0~5 s内的位移为10 m | C、第1 s末与第3 s末的速度方向相同 | D、第1 s末与第5 s末的加速度方向相同 |