题目内容
风能将成为21世纪大规模开发的一种可再生清洁能源.风力发电机是将风能(气流的功能)转化为电能的装置,其主要部件包括风轮机、齿轮箱,发电机等.如图所示.(1)利用总电阻R=10Ω的线路向外输送风力发电机产生的电能.输送功率P=300 kW,输电电压U=10 kW,求异线上损失的功率与输送功率的比值;
(2)风轮机叶片旋转所扫过的面积为风力发电机可接受风能的面积.设空气密度为p,气流速度为v,风轮机叶片长度为r.求单位时间内流向风轮机的最大风能Pm;
在风速和叶片数确定的情况下,要提高风轮机单位时间接受的风能,简述可采取的措施.
(3)已知风力发电机的输出电功率P与Pm成正比.某风力发电机的风速v19m/s时能够输出电功率P1=540kW.我国某地区风速不低于v2=6m/s的时间每年约为5000小时,试估算这台风力发电机在该地区的最小年发电量是多少千瓦时.
【答案】分析:(1)先根据输送电压和输送功率求出输电线上的电流,再根据P=I2R求出导线上损失的功率,进而求出损失的功率与输送功率的比值;
(2)风垂直流向风轮机时,提供的风能功率最大.单位时间内垂直流向叶片旋转面积的气体质量为pvS,根据 P风=
即可求解;
(3)先求出风力发电机的输出功率,进而即可求出最小年发电量.
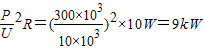
解答:解:(1)导线上损失的功率为P=I2R=
损失的功率与输送功率的比值
(2)风垂直流向风轮机时,提供的风能功率最大.
单位时间内垂直流向叶片旋转面积的气体质量为pvS,S=πr2
风能的最大功率可表示为 P风=
采取措施合理,如增加风轮机叶片长度,安装调向装置保持风轮机正面迎风等.
(3)按题意,风力发电机的输出功率为P2=
kW=160 kW
最小年发电量约为W=P2t=160×5000 kW?h=8×105kW?h
答:(1)导线上损失的功率为9kW,输送功率的比值为0.03;
(2)单位时间内流向风轮机的最大风能Pm为
,在风速和叶片数确定的情况下,要提高风轮机单位时间接受的风能,可采取的措施如增加风轮机叶片长度,安装调向装置保持风轮机正面迎风等.
(3)这台风力发电机在该地区的最小年发电量是8×105kW?h.
点评:本题考查了功和功率的计算,关键是根据题意找出求出发电机功率的方法,及风能的最大功率和输出功率之间的关系.
(2)风垂直流向风轮机时,提供的风能功率最大.单位时间内垂直流向叶片旋转面积的气体质量为pvS,根据 P风=
(3)先求出风力发电机的输出功率,进而即可求出最小年发电量.
解答:解:(1)导线上损失的功率为P=I2R=
损失的功率与输送功率的比值
(2)风垂直流向风轮机时,提供的风能功率最大.
单位时间内垂直流向叶片旋转面积的气体质量为pvS,S=πr2
风能的最大功率可表示为 P风=
采取措施合理,如增加风轮机叶片长度,安装调向装置保持风轮机正面迎风等.
(3)按题意,风力发电机的输出功率为P2=
最小年发电量约为W=P2t=160×5000 kW?h=8×105kW?h
答:(1)导线上损失的功率为9kW,输送功率的比值为0.03;
(2)单位时间内流向风轮机的最大风能Pm为
(3)这台风力发电机在该地区的最小年发电量是8×105kW?h.
点评:本题考查了功和功率的计算,关键是根据题意找出求出发电机功率的方法,及风能的最大功率和输出功率之间的关系.
练习册系列答案
相关题目