题目内容

质量为3000t的火车,以额定功率由静止出发,所受阻力恒定,经过行驶12km达最大速度求:

(1)列车的额定功率.

(2)运动中所受阻力.

答案:略
解析:

(1),(2)

列车达最大速度之前,牵引力是一个变量,故不能用W=Fs的形式求牵引力的功,此题也无法用牛顿定律求解.

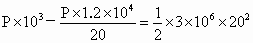
解:(1)设汽车的额定功率为P,阻力为F,由于牵引力的功为,据动能定理得:

汽车达最大速度时,

由①②两式得

解得额定功率

(2)阻力


练习册系列答案
相关题目

违法和不良信息举报电话:027-86699610 举报邮箱:58377363@163.com

精英家教网