题目内容

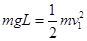
质量相同的两个小球,分别用长为L和2L的细绳悬挂在天花板上,如图所示,分别拉起小球使线伸直呈水平状态,然后轻轻释放,当小球到达最低位置时

A.两球运动的线速度相等

B.两球运动的角速度相等

C.两球运动的加速度均为3g

D.细绳对两球的拉力均为3mg

 

【答案】

D

【解析】

试题分析:以左侧小球为研究对象,根据机械能守恒定律可知,同理以右侧小球为对象有,故可知,所以A错误;根据可知,,所以B错误;根据圆周运动公式可得,故C错误;根据圆周运动公式及牛顿第二定律有,故解得悬线对小球的拉力,故D正确;

考点:机械能守恒定律、圆周运动

 

练习册系列答案
相关题目
(1)向心力演示器如图1所示.转动手柄1,可使变速塔轮2和3以及长槽4和短槽5随之匀速转动.皮带分别套在塔轮2和3上的不同圆盘上,可使两个槽内的小球分别以几种不同的角速度做匀速圆周运动.小球做圆周运动的向心力由横臂6的挡板对小球的压力提供,球对挡板的反作用力,通过横臂的杠杆使弹簧测力套筒7下降,从而露出标尺8,标尺8上露出的红白相间等分格子的多少可以显示出两个球所受向心力的大小.现将小球分别放在两边的槽内,为探究小球受到的向心力大小与哪些因素有关系,下列想法正确的是
D
D


A.用质量不同的钢球和铝球做实验,使它们运动半径相等,比较向心力的大小与质量大小的关系
B.用质量相同的两个小球做实验,使它们的角速度不等,比较向心力的大小与角速度大小的关系
C.用质量相同的两个小球做实验,使它们的运动半径不等,比较向心力的大小与半径大小的关系
D.在两个小球的质量、运动半径和角速度三个量中,保持其中两个量相等,才能比较向心力的大小与第三个量的关系
(2)图2为某电流表G的表盘,测得电流表G内阻为Rg=105.0Ω,把它改装成量程为UV=15V的电压表,需要
联(填“串”或“并”)一个电阻Rx=
49895Ω
49895Ω
.请在图3的虚线框内标上改装后表盘上应该标注的符号.用它来测量电压,电流表盘指针位置如图3所示,则此时所测量的电压值应是
11.5
11.5
V.
(3)某同学在做“用多用电表探测黑箱内的元件”的实验中,已知黑箱面板上有三个接线柱A、B、C,如图4所示,黑箱内的元件可能是电阻、二极管、电容等,且只有其中两个元件,测量情况为:
红表笔 A A B B C C
黑表笔 B C A C A B
测量结果 接近0Ω 接近10kΩ 10kΩ 10kΩ
请根据以上结果画出黑箱中的电路.

违法和不良信息举报电话:027-86699610 举报邮箱:58377363@163.com

精英家教网