题目内容
在高速公路上以108km/h沿直线匀速向东运动的汽车,突然刹车经10s停止,汽车刹车后作匀减速运动,求:(1)物体的加速度 (2)汽车刹车后滑行的距离.
【答案】分析:(1)根据匀变速直线运动的速度时间公式求出汽车刹车的加速度.
(2)根据匀变速直线运动的速度位移公式求出汽车刹车后的位移.
解答:解:(1)108km/h=30m/s.
根据v=v+at得:
a=
.
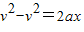
(2)根据
得,
x=
答:(1)物体的加速度为-3m/s2.
(2)汽车刹车后滑行的距离为150m.
点评:解决本题的关键掌握匀变速直线运动的规律,灵活运用运动学公式进行求解.
(2)根据匀变速直线运动的速度位移公式求出汽车刹车后的位移.
解答:解:(1)108km/h=30m/s.
根据v=v+at得:
a=
(2)根据
x=
答:(1)物体的加速度为-3m/s2.
(2)汽车刹车后滑行的距离为150m.
点评:解决本题的关键掌握匀变速直线运动的规律,灵活运用运动学公式进行求解.
练习册系列答案
相关题目