题目内容
A.小环通过b点的速率为
B.小环从O到b,电场力做的功可能为零
C.小环在Oa之间的速度是先增大后减小
D.小环在ab之间的速度是先减小后增大
【答案】分析:由题可知,a点与b点电势相等,则小环从O点移到a点与移到b点电场力做功相等,
根据动能定理分别研究小环从O点移到a点与O点移到b点,求解小环通过b点的速率.
根据动能定理分析小环从o到b电场力做功不等于零.
小环在oa之间运动时,重力和电场力均做正功速度一直增大.
根据动能定理研究小环滑到ab的速度大小,分析小环在ab之间的速度如何变化.
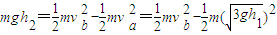
解答:解:A、a、b两点是-+Q所产生的电场中的两个等势点,所以小环从a到b的过程中只有重力做功,
根据动能定理研究小环从a到b的过程得:
,
解得 vb=
故A正确.
B、小环从o到b电场力做的功等于从o到a电场力做的功,大于零.故B错误.
C、小环在oa之间运动过程,重力和电场力均做正功,速度一直增大.故C错误.
D、小环在ab之间运动过程,重力做正功,电场力先做正功,后做负功,无法判断重力做功与电场力做功的大小,即无法判断重力做功与电场力做功的代数和的正负,则无法确定速度的变化情况.故D错误.
故选A.
点评:本题运用动能定理分析物体的运动情况,关键确定电场力做功,要抓住电场力做功的特点:电荷与初末位置的电势差有关,与路径无关.
根据动能定理分别研究小环从O点移到a点与O点移到b点,求解小环通过b点的速率.
根据动能定理分析小环从o到b电场力做功不等于零.
小环在oa之间运动时,重力和电场力均做正功速度一直增大.
根据动能定理研究小环滑到ab的速度大小,分析小环在ab之间的速度如何变化.
解答:解:A、a、b两点是-+Q所产生的电场中的两个等势点,所以小环从a到b的过程中只有重力做功,
根据动能定理研究小环从a到b的过程得:
解得 vb=
B、小环从o到b电场力做的功等于从o到a电场力做的功,大于零.故B错误.
C、小环在oa之间运动过程,重力和电场力均做正功,速度一直增大.故C错误.
D、小环在ab之间运动过程,重力做正功,电场力先做正功,后做负功,无法判断重力做功与电场力做功的大小,即无法判断重力做功与电场力做功的代数和的正负,则无法确定速度的变化情况.故D错误.
故选A.
点评:本题运用动能定理分析物体的运动情况,关键确定电场力做功,要抓住电场力做功的特点:电荷与初末位置的电势差有关,与路径无关.
练习册系列答案
相关题目
| 3gh1 |
| A、小环通过b、c两点时的速度大小相等 | ||
B、小环通过c点的速率为
| ||
| C、小环从a到b,电势能逐渐增大 | ||
| D、小环从a到c,电场力做的功可能为零 |
| 3gh1 |
| A、小环通过a、b两点时的速度大小相等 | ||
B、小环通过b点的速率为
| ||
| C、小环在oa之间的速度不断增大 | ||
| D、小环从o到b,电场力做的功可能为零 |
| 3gh1 |
A、小环通过b点的速率为
| ||
| B、小环从O到b,电场力做的功可能为零 | ||
| C、小环在Oa之间的重力势能和电势能均一直减小 | ||
| D、小环在ab之间的速度是先减小后增大 |