ÌâÄ¿ÄÚÈÝ
ÓÃÈçͼ1ËùʾµÄʵÑé×°ÖÃÑéÖ¤»úеÄÜÊØºã¶¨ÂÉʵÑéËùÓõĵçԴΪѧÉúµçÔ´£¬Êä³öµçѹΪ6VµÄ½»Á÷µçºÍÖ±Á÷µçÁ½ÖÖ£®ÖØ´¸´Ó¸ß´¦Óɾ²Ö¹¿ªÊ¼ÏÂÂ䣬֨´¸ÉÏÍÏ×ŵÄÖ½´ø´ò³öһϵÁеĵ㣬¶ÔͼÖÐÖ½´øÉϵĵãºÛ½øÐвâÁ¿£®¼´¿ÉÑéÖ¤»úеÄÜÊØºã¶¨ÂÉ
¢ÙÏÂÃæÁоÙÁ˸ÃʵÑéµÄ¼¸¸ö²Ù×÷²½Öè
A£®°´ÕÕͼʾµÄ×°Öð²×°Æ÷¼þ£»
B£®½«´òµã¼ÆÊ±Æ÷½Óµ½µçÔ´µÄ¡°Ö±Á÷Êä³ö¡±ÉÏ
C£®ÓÃÌìÆ½²â³öÖØ´¸µÄÖÊÁ¿£»
D£®ÏȽÓͨµçÔ´£¬ºóÊÍ·ÅÖ½´ø£¬´ò³öÒ»ÌõÖ½´ø
E£®²âÁ¿Ö½´øÉÏijЩµã¼äµÄ¾àÀ룻
F£®¸ù¾Ý²âÁ¿µÄ½á¹û¼ÆËãÖØ´¸ÏÂÂä¹ý³ÌÖмõÉÙµÄÖØÁ¦ÊÆÄÜÊÇ·ñµÈÓÚÔö¼ÓµÄ¶¯ÄÜ
ÆäÖÐûÓбØÒª½øÐеIJ½ÖèÊÇ______£¬²Ù×÷²»µ±µÄ²½ÖèÊÇ______£®
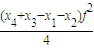
¢ÚÀûÓÃÕâ¸ö×°ÖÃÒ²¿ÉÒÔ²âÁ¿ÖØ´¸ÏÂÂäµÄ¼ÓËÙ¶È£®Èçͼ2ËùʾÊÇ´ò³öµÄÒ»ÌõÖ½´ø£¬Ñ¡È¡Ö½´øÉϵÄÁ¬ÐøµÄÎå¸öµãA¡¢B¡¢C¡¢D¡¢E£¬²â³ö¸÷µãÖ®¼äµÄ¾àÀëÈçͼ2Ëùʾ£®Ê¹ÓõçÁ÷µÄƵÂÊΪf£¬Ôò¼ÆËãÖØ´¸ÏÂÂäµÄ¼ÓËٶȵıí´ïʽa=______£®£¨ÓÃx1¡¢x2¡¢x3¡¢x4¼°f±íʾ£©
¢ÛÔÚÑéÖ¤»úеÄÜÊØºã¶¨ÂɵÄʵÑéÖз¢ÏÖ£¬ÖØ´¸¼õСµÄÖØÁ¦ÊÆÄÜ×ÜÊÇ´óÓÚÖØ´¸Ôö¼ÓµÄ¶¯ÄÜ£¬ÆäÖ÷ÒªÔÒòÊÇÖØ´¸ºÍÖ½´øÏÂÂä¹ý³ÌÖдæÔÚ×èÁ¦×÷Ó㬿ÉÒÔͨ¹ý¸ÃʵÑé×°Öòâ×èÁ¦µÄ´óС£¬ÈôÒÑÖªµ±µØÖØÁ¦¼ÓËÙ¶ÈΪg£¬»¹ÐèÒª²âÁ¿µÄÎïÀíÁ¿ÊÇ______£®
¡¾´ð°¸¡¿·ÖÎö£º¢Ù½â¾öʵÑéÎÊÌâÊ×ÏÈÒªÕÆÎÕ¸ÃʵÑéÔÀí£¬Á˽âʵÑéµÄÒÇÆ÷¡¢²Ù×÷²½ÖèºÍÊý¾Ý´¦ÀíÒÔ¼°×¢ÒâÊÂÏֻÓÐÕâÑù²ÅÄÜÃ÷ȷÿ²½²Ù×÷µÄ¾ßÌ庬Ò壮
¢ÚÀûÓÃÔȱäËÙÖ±ÏßÔ˶¯µÄÍÆÀí¡÷x=aT2¿ÉÒÔÇó³öÖØ´¸ÏÂÂäµÄ¼ÓËÙ¶È´óС£®
¢Û¸ù¾ÝÅ£¶ÙµÚ¶þ¶¨ÂÉÓУºmg-f=ma£¬Òò´ËÖ»ÓÐÖªµÀÖØ´¸µÄÖÊÁ¿m£¬¼´¿ÉÇó³ö×èÁ¦´óС£®
½â´ð£º½â£º¢ÙB£º½«´òµã¼ÆÊ±Æ÷½Óµ½µçÔ´µÄ¡°½»Á÷Êä³ö¡±ÉÏ£¬¹ÊB´íÎ󣬲Ù×÷²»µ±£®
C£ºÒòΪÎÒÃÇÊDZȽÏmgh¡¢
µÄ´óС¹ØÏµ£¬¹Êm¿ÉԼȥ±È½Ï£¬²»ÐèÒªÓÃÌìÆ½£¬¹ÊCûÓбØÒª£®
¹Ê´ð°¸Îª£ºC£¬B£®
¢ÚÓÉÌâÒâ¿ÉÖª£¬¸÷¸öµãÖ®¼äµÄʱ¼ä¼ä¸ôΪ
£¬Îå¶ÎÎ»ÒÆ¿ÉÒÔ½«µÚÒ»¶ÎÎ»ÒÆÉáµô£¬ÓÉÖð²î·¨µÃ£º
a=
£®
¹Ê´ð°¸Îª£ºa=
£®
¢Û¸ù¾ÝÅ£¶ÙµÚ¶þ¶¨ÂÉÓУºmg-f=ma£¬Òò´ËÖ»ÓÐÖªµÀÖØ´¸µÄÖÊÁ¿m£¬¼´¿ÉÇó³ö×èÁ¦´óС£®
¹Ê´ð°¸Îª£ºÖØ´¸µÄÖÊÁ¿m£®
µãÆÀ£º½â´ðʵÑéÎÊÌâµÄ¹Ø¼üÊÇÃ÷ȷʵÑéÔÀí£¬ÊìÁ·Ó¦ÓÃÎïÀí»ù±¾¹æÂÉ£¬Òò´ËÕâµãÔÚÆ½Ê±ÑµÁ·ÖÐÒªÖØµã¼ÓÇ¿£®
¢ÚÀûÓÃÔȱäËÙÖ±ÏßÔ˶¯µÄÍÆÀí¡÷x=aT2¿ÉÒÔÇó³öÖØ´¸ÏÂÂäµÄ¼ÓËÙ¶È´óС£®
¢Û¸ù¾ÝÅ£¶ÙµÚ¶þ¶¨ÂÉÓУºmg-f=ma£¬Òò´ËÖ»ÓÐÖªµÀÖØ´¸µÄÖÊÁ¿m£¬¼´¿ÉÇó³ö×èÁ¦´óС£®
½â´ð£º½â£º¢ÙB£º½«´òµã¼ÆÊ±Æ÷½Óµ½µçÔ´µÄ¡°½»Á÷Êä³ö¡±ÉÏ£¬¹ÊB´íÎ󣬲Ù×÷²»µ±£®
C£ºÒòΪÎÒÃÇÊDZȽÏmgh¡¢
¹Ê´ð°¸Îª£ºC£¬B£®
¢ÚÓÉÌâÒâ¿ÉÖª£¬¸÷¸öµãÖ®¼äµÄʱ¼ä¼ä¸ôΪ
a=
¹Ê´ð°¸Îª£ºa=
¢Û¸ù¾ÝÅ£¶ÙµÚ¶þ¶¨ÂÉÓУºmg-f=ma£¬Òò´ËÖ»ÓÐÖªµÀÖØ´¸µÄÖÊÁ¿m£¬¼´¿ÉÇó³ö×èÁ¦´óС£®
¹Ê´ð°¸Îª£ºÖØ´¸µÄÖÊÁ¿m£®
µãÆÀ£º½â´ðʵÑéÎÊÌâµÄ¹Ø¼üÊÇÃ÷ȷʵÑéÔÀí£¬ÊìÁ·Ó¦ÓÃÎïÀí»ù±¾¹æÂÉ£¬Òò´ËÕâµãÔÚÆ½Ê±ÑµÁ·ÖÐÒªÖØµã¼ÓÇ¿£®
Á·Ï°²áϵÁдð°¸
Ïà¹ØÌâÄ¿
£¨1£©Ä³Í¬Ñ§ÔÚÑо¿¡°¶Ô²»Í¬ÎïÌå×öÏàͬ¹¦Çé¿öÏ£¬ÎïÌåÖÊÁ¿ÓëËٶȵĹØÏµ¡±Ê±£¬Ìá³öÁËÒÔÏÂËÄÖÖ²ÂÏ룺
A£®m¡Þ¦Ô
B£®
C£®m¡Þ¦Ô2
D.
ΪÑéÖ¤²ÂÏëµÄÕýÈ·ÐÔ£¬¸ÃͬѧÓÃÈçͼ1ËùʾµÄ×°ÖýøÐÐʵÑ飺½«³¤Ä¾°åƽ·ÅÔÚˮƽ×ÀÃæÉÏ£¬Ä¾¿é¹Ì¶¨ÔÚ³¤Ä¾°åÒ»¶Ë£¬´òµã¼ÆÊ±Æ÷¹Ì¶¨ÔÚľ¿éÉÏ£¬Ä¾¿éÓÒ²à¹Ì¶¨Ò»Çᵯ»É£¬ÓÃÁ¬½ÓÖ½´øµÄС³µÑ¹Ëõµ¯»ÉÖÁ³¤Ä¾°åµÄÐéÏß´¦Óɾ²Ö¹ÊÍ·Å£¬´òµã¼ÆÊ±Æ÷ÔÚÖ½´øÉÏ´òÏÂһϵÁе㣬ѡȡµã¼£¾ùÔȵÄÒ»²¿·ÖÖ½´ø£¬¼ÆËã³öС³µÔÈËÙÔ˶¯µÄËٶȦÔ1£¬²â³öС³µµÄÖÊÁ¿m1£»È»ºóÔÚС³µÉϼÓíÀÂ룬ÔÙ´ÎѹËõµ¯»ÉÖÁľ°åÐéÏß´¦Óɾ²Ö¹ÊÍ·ÅС³µ£¬¼ÆËã³öС³µºÍíÀÂëÔÈËÙÔ˶¯µÄËٶȦÔ2£¬²â³öС³µºÍíÀÂëµÄ×ÜÖÊÁ¿m2£ºÔÙÔÚС³µÉϼÓíÀÂë£¬ÖØ¸´ÒÔÉϲÙ×÷£¬·Ö±ð²â³ö¦Ô3¡¢m3¡£®

¢Ùÿ´ÎʵÑéÖУ¬¶¼½«Ð¡³µÑ¹Ëõµ¯»ÉÖÁ³¤Ä¾°åµÄÐéÏß´¦Óɾ²Ö¹ÊÍ·Å£¬Ä¿µÄÊÇ______£»ÈôÒªÏû³ýÿ´ÎʵÑéÖÐС³µºÍÖ½´øÊܵ½µÄ×èÁ¦¶ÔС³µÔ˶¯µÄÓ°Ï죬Ӧ½øÐеÄʵÑé²Ù×÷ÊÇ______£®
¢Úij´ÎʵÑé²É¼¯µÄÎå×éÊý¾ÝÈç±í£ºÓɱí¸ñÊý¾ÝÖ±¹ÛÅжϣ¬Ã÷ÏÔ²»ÕýÈ·µÄÁ½¸ö²ÂÏëÊÇA¡¢B¡¢C¡¢DÖеÄ______£»Èô¶Ôij¸ö²ÂÏë½øÐÐÊý¾Ý´¦Àí²¢×÷ͼ£¬»³öÁËÈçͼ2ËùʾµÄͼÏó£¬ÔòͼÖеĺá×ø±êÓ¦ÊÇ______£®
£¨2£©¶¬¡¢´º¼¾½Ú½µË®Á¿ÉÙ£¬¹ã¶«Ñغ£¸½½ü½ºÓˮλ½ÏµÍ£¬Õdz±Ê±º£Ë®µ¹¹à£¬³öÏÖ¡°Ï̳±¡±ÏÖÏó£¬Ê¹Ñغ£µØÇøµÄ³ÇÊÐ×ÔÀ´Ë®ÖеÄÀë×ÓŨ¶ÈÔö¸ß£¬µç×èÂʱäС£¬Ë®ÖÊÊܵ½Ó°Ï죮ijͬѧÉè¼ÆÁËÒ»¸ö¼à²âºÓË®µç×èÂʵÄʵÑ飮ÔÚÒ»¸ù¾ùÔȳ¤¶È²£Á§¹ÜÁ½¶Ë·Ö±ð×°ÉÏÏð½ºÈûºÍ²¬µç¼«£¬Èçͼ3Ëùʾ£¬Á½µç¼«Ïà¾àL=0.314m£¬¹ÜÄÚ³äÂú´ý²âµÄºÓË®£®°²×°Ç°ÓÃÓα꿨³ß²âÁ¿²£Á§¹ÜµÄÄÚ¾¶£¬²âÁ¿½á¹ûÈçͼ4Ëùʾ£®
Ϊ²â¹ÜÄÚºÓË®µç×蹩ѡÆ÷²ÄÓУº
µçѹ±íV1£ºÁ¿³Ì15V£¬ÄÚ×èÔ¼30k¦¸
µçѹ±íV2£ºÁ¿³Ì3V£¬ÄÚ×èÔ¼10k¦¸
µçÁ÷±íA1£ºÁ¿³Ì0.6A£¬ÄÚ×èÔ¼0.5¦¸
µçÁ÷±íA2£ºÁ¿³Ì150mA£¬ÄÚ×èÔ¼10¦¸
»¬¶¯±ä×èÆ÷¼×£º×î´óֵΪ10¦¸£¬¶î¶¨µçÁ÷×ã¹»´ó
»¬¶¯±ä×èÆ÷ÒÒ£º×î´óֵΪ1k¦¸£¬¶î¶¨µçÁ÷×ã¹»´ó
µçÔ´E1£ºµç¶¯ÊÆ15V£¬ÄÚ×è6¦¸
µçÔ´E2£ºµç¶¯ÊÆ3V£¬ÄÚ×è2¦¸
¿ª¹Ø¡¢µ¼ÏßÈô¸É£®
¸ÃͬѧѡÓÃÒÔÉϲ¿·ÖÆ÷²Ä²â³öÁË9×éÊý¾Ý£¬²¢ÔÚ×ø±êϵÖбê³ö£¬Èçͼ5Ëùʾ£®
¢Ù¾Ýͼ£¨2£©¶Á³ö²£Á§¹ÜµÄÄÚ¾¶d=______mm£®
¢ÚʵÑéʱ£¬ËùÑ¡Óõĵçѹ±íΪ______£¨Ìî¡°V1¡±»ò¡°V2¡±£©£¬ËùÑ¡ÓõĵçÁ÷±íΪ______£¨Ìî¡°A1¡±»ò¡°A2¡±£©£¬ËùÑ¡µÄ»¬¶¯±ä×èÆ÷Ϊ______£¨Ìî¡°¼×¡±»ò¡°ÒÒ¡±£©£¬ËùÑ¡µÄµçԴΪ______£¨Ìî¡°E1¡±»ò¡°E2¡±£©£®
¢ÛÔÚ´ðÌ⿨µÄÐéÏß¿òÄÚ»³ö¸ÃʵÑéµÄÔÀíͼ£®
A£®m¡Þ¦Ô
B£®
C£®m¡Þ¦Ô2
D.
ΪÑéÖ¤²ÂÏëµÄÕýÈ·ÐÔ£¬¸ÃͬѧÓÃÈçͼ1ËùʾµÄ×°ÖýøÐÐʵÑ飺½«³¤Ä¾°åƽ·ÅÔÚˮƽ×ÀÃæÉÏ£¬Ä¾¿é¹Ì¶¨ÔÚ³¤Ä¾°åÒ»¶Ë£¬´òµã¼ÆÊ±Æ÷¹Ì¶¨ÔÚľ¿éÉÏ£¬Ä¾¿éÓÒ²à¹Ì¶¨Ò»Çᵯ»É£¬ÓÃÁ¬½ÓÖ½´øµÄС³µÑ¹Ëõµ¯»ÉÖÁ³¤Ä¾°åµÄÐéÏß´¦Óɾ²Ö¹ÊÍ·Å£¬´òµã¼ÆÊ±Æ÷ÔÚÖ½´øÉÏ´òÏÂһϵÁе㣬ѡȡµã¼£¾ùÔȵÄÒ»²¿·ÖÖ½´ø£¬¼ÆËã³öС³µÔÈËÙÔ˶¯µÄËٶȦÔ1£¬²â³öС³µµÄÖÊÁ¿m1£»È»ºóÔÚС³µÉϼÓíÀÂ룬ÔÙ´ÎѹËõµ¯»ÉÖÁľ°åÐéÏß´¦Óɾ²Ö¹ÊÍ·ÅС³µ£¬¼ÆËã³öС³µºÍíÀÂëÔÈËÙÔ˶¯µÄËٶȦÔ2£¬²â³öС³µºÍíÀÂëµÄ×ÜÖÊÁ¿m2£ºÔÙÔÚС³µÉϼÓíÀÂë£¬ÖØ¸´ÒÔÉϲÙ×÷£¬·Ö±ð²â³ö¦Ô3¡¢m3¡£®
¢Ùÿ´ÎʵÑéÖУ¬¶¼½«Ð¡³µÑ¹Ëõµ¯»ÉÖÁ³¤Ä¾°åµÄÐéÏß´¦Óɾ²Ö¹ÊÍ·Å£¬Ä¿µÄÊÇ______£»ÈôÒªÏû³ýÿ´ÎʵÑéÖÐС³µºÍÖ½´øÊܵ½µÄ×èÁ¦¶ÔС³µÔ˶¯µÄÓ°Ï죬Ӧ½øÐеÄʵÑé²Ù×÷ÊÇ______£®
¢Úij´ÎʵÑé²É¼¯µÄÎå×éÊý¾ÝÈç±í£ºÓɱí¸ñÊý¾ÝÖ±¹ÛÅжϣ¬Ã÷ÏÔ²»ÕýÈ·µÄÁ½¸ö²ÂÏëÊÇA¡¢B¡¢C¡¢DÖеÄ______£»Èô¶Ôij¸ö²ÂÏë½øÐÐÊý¾Ý´¦Àí²¢×÷ͼ£¬»³öÁËÈçͼ2ËùʾµÄͼÏó£¬ÔòͼÖеĺá×ø±êÓ¦ÊÇ______£®
| m/kg | 0.10 | 0.20 | 0.30 | 0.40 | 0.50 |
| v/ | 1.000 | 0.707 | 0.577 | 0.500 | 0..447 |
Ϊ²â¹ÜÄÚºÓË®µç×蹩ѡÆ÷²ÄÓУº
µçѹ±íV1£ºÁ¿³Ì15V£¬ÄÚ×èÔ¼30k¦¸
µçѹ±íV2£ºÁ¿³Ì3V£¬ÄÚ×èÔ¼10k¦¸
µçÁ÷±íA1£ºÁ¿³Ì0.6A£¬ÄÚ×èÔ¼0.5¦¸
µçÁ÷±íA2£ºÁ¿³Ì150mA£¬ÄÚ×èÔ¼10¦¸
»¬¶¯±ä×èÆ÷¼×£º×î´óֵΪ10¦¸£¬¶î¶¨µçÁ÷×ã¹»´ó
»¬¶¯±ä×èÆ÷ÒÒ£º×î´óֵΪ1k¦¸£¬¶î¶¨µçÁ÷×ã¹»´ó
µçÔ´E1£ºµç¶¯ÊÆ15V£¬ÄÚ×è6¦¸
µçÔ´E2£ºµç¶¯ÊÆ3V£¬ÄÚ×è2¦¸
¿ª¹Ø¡¢µ¼ÏßÈô¸É£®
¸ÃͬѧѡÓÃÒÔÉϲ¿·ÖÆ÷²Ä²â³öÁË9×éÊý¾Ý£¬²¢ÔÚ×ø±êϵÖбê³ö£¬Èçͼ5Ëùʾ£®
¢Ù¾Ýͼ£¨2£©¶Á³ö²£Á§¹ÜµÄÄÚ¾¶d=______mm£®
¢ÚʵÑéʱ£¬ËùÑ¡Óõĵçѹ±íΪ______£¨Ìî¡°V1¡±»ò¡°V2¡±£©£¬ËùÑ¡ÓõĵçÁ÷±íΪ______£¨Ìî¡°A1¡±»ò¡°A2¡±£©£¬ËùÑ¡µÄ»¬¶¯±ä×èÆ÷Ϊ______£¨Ìî¡°¼×¡±»ò¡°ÒÒ¡±£©£¬ËùÑ¡µÄµçԴΪ______£¨Ìî¡°E1¡±»ò¡°E2¡±£©£®
¢ÛÔÚ´ðÌ⿨µÄÐéÏß¿òÄÚ»³ö¸ÃʵÑéµÄÔÀíͼ£®