题目内容
如图所示,在水平地面上固定一倾角θ=37°、表面光滑、斜面足够长的斜面体,物体A以v1=6m/s的初速度沿斜面上滑,同时在物体A的正上方,有一物体B以某一初速度水平抛出.如果当A上滑到最高点时恰好被B物体击中.(A、B均可看作质点,sin37°=0.6,cos37°=0.8,g取10m/s2)求:(1)物体B抛出时的初速度v2;
(2)物体A、B间初始位置的高度差h.
【答案】分析:(1)根据牛顿第二定律求出A上滑的加速度,通过运动学公式求出上滑的时间和位移,从而得出B平抛运动的水平位移,结合时间求出初速度的大小.
(2)物体A、B间初始位置的高度差h等于A上滑的高度和B平抛运动的高度之和.
解答:解(1)根据牛顿第二定律得,A上滑的加速度a=gsin37°=6m/s2.
运动的时间t=
.
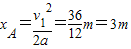
A物体运动的位移
.
则B平抛运动的水平位移x=xAcos37°=v2t
解得B抛出的初速度v2=2.4m/s.
(2)B平抛运动的高度差
.
A上升的高度h2=xAsin37°=1.8m
则AB初始位置的高度差△h=h1+h2=6.8m.
答:(1)物体B抛出时的初速度为2.4m/s.
(2)物体A、B间初始位置的高度差h为6.8m.
点评:解决本题的关键知道平抛运动在水平方向和竖直方向上的运动规律,抓住与A运动的时间相等,水平位移相等,结合牛顿第二定律和运动学公式进行求解.
(2)物体A、B间初始位置的高度差h等于A上滑的高度和B平抛运动的高度之和.
解答:解(1)根据牛顿第二定律得,A上滑的加速度a=gsin37°=6m/s2.
运动的时间t=
A物体运动的位移
则B平抛运动的水平位移x=xAcos37°=v2t
解得B抛出的初速度v2=2.4m/s.
(2)B平抛运动的高度差
A上升的高度h2=xAsin37°=1.8m
则AB初始位置的高度差△h=h1+h2=6.8m.
答:(1)物体B抛出时的初速度为2.4m/s.
(2)物体A、B间初始位置的高度差h为6.8m.
点评:解决本题的关键知道平抛运动在水平方向和竖直方向上的运动规律,抓住与A运动的时间相等,水平位移相等,结合牛顿第二定律和运动学公式进行求解.
练习册系列答案
相关题目