题目内容

如图所示, 一理想变压器的匝数比n1∶n2∶n3=4∶2∶1. 线圈Ⅱ接有二只标有“6W, 6V”的灯泡, 正常发光; 线圈Ⅲ接有四只额定功率为3W的灯泡, 正常发光. 则阻值为3Ω的电阻R1的实际功率为

[  ]

A. 3W  B. 6W  C. 12W  D. 24W

答案:C
解析:

解: ∵线圈Ⅱ接有“6W, 6Ⅴ”灯泡正常发光

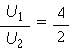
∴U2=6Ⅴ, 

∴U1=2U2=12V

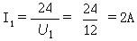
I1U1=I2U2+I3U3=12+12=24(W)

R1的实际功率P=I12·R=4×3=12(W)(C对)


练习册系列答案
相关题目

违法和不良信息举报电话:027-86699610 举报邮箱:58377363@163.com

精英家教网