题目内容
(1)物体与水平面间的运动摩擦因数μ;
(2)水平推力F的大小;
(3)0-10s内物体运动位移的大小.
【答案】分析:根据速度-时间图象可知:0-6s内有水平推力F的作用,物体做匀加速直线运动;6s-10s内,撤去F后只在摩擦力作用下做匀减速直线运动,可根据图象分别求出加速度,再根据匀变速直线运动基本公式及牛顿第二定律求解.
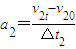
解答:解:(1)设物体做匀减速直线运动的时间为△t2、初速度为v20、末速度为v2t、加速度为a2,
则:
=-2m/s2 ①
设物体所受的摩擦力为Ff,根据牛顿第二定律,有
Ff=ma2 ②
Ff=-μmg ③
联立①②③得:
④
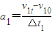
(2)设物体做匀加速直线运动的时间为△t1、初速度为v10、末速度为v1t、加速度为a1,则
⑤
根据牛顿第二定律,有F+Ff=ma1 ⑥
联立③⑤⑥得:F=μmg+ma1=6N
(3)由匀变速直线运动位移公式,得
x=x1+x2=v10△t1+
+v20△t2+
=46m.
答:(1)物体与水平面间的运动摩擦因数μ为0.2;
(2)水平推力F的大小为6N;
(3)0-10s内物体运动位移的大小为46m.
点评:本题是速度--时间图象的应用,要明确斜率的含义,知道在速度--时间图象中图象与坐标轴围成的面积的含义,能根据图象读取有用信息,并结合匀变速直线运动基本公式及牛顿第二定律求解.属于中档题.
解答:解:(1)设物体做匀减速直线运动的时间为△t2、初速度为v20、末速度为v2t、加速度为a2,
则:
设物体所受的摩擦力为Ff,根据牛顿第二定律,有
Ff=ma2 ②
Ff=-μmg ③
联立①②③得:
(2)设物体做匀加速直线运动的时间为△t1、初速度为v10、末速度为v1t、加速度为a1,则
根据牛顿第二定律,有F+Ff=ma1 ⑥
联立③⑤⑥得:F=μmg+ma1=6N
(3)由匀变速直线运动位移公式,得
x=x1+x2=v10△t1+
答:(1)物体与水平面间的运动摩擦因数μ为0.2;
(2)水平推力F的大小为6N;
(3)0-10s内物体运动位移的大小为46m.
点评:本题是速度--时间图象的应用,要明确斜率的含义,知道在速度--时间图象中图象与坐标轴围成的面积的含义,能根据图象读取有用信息,并结合匀变速直线运动基本公式及牛顿第二定律求解.属于中档题.
练习册系列答案
相关题目