题目内容
若有一宇航员,乘速度为1 000 km/s的火箭,经40 h到某行星,求宇航员和地面上的观察者所得的时间测量值的差有多大?
答案:0.8s
解析:
解析:
|
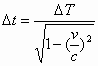
由 |
练习册系列答案
相关题目
题目内容
若有一宇航员,乘速度为1 000 km/s的火箭,经40 h到某行星,求宇航员和地面上的观察者所得的时间测量值的差有多大?
|
由 |