ÌâÄ¿ÄÚÈÝ

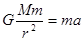
2009Äê5Ô£¬º½Ìì·É»úÔÚÍê³É¶Ô¹þ²ª¿Õ¼äÍûÔ¶¾µµÄάÐÞÈÎÎñºó£¬ÔÚAµã´ÓÔ²ÐιìµÀ¢ñ½øÈëÍÖÔ²¹ìµÀ¢ò£¬BΪ¹ìµÀ¢òÉϵÄÒ»µã£¬ÈçͼËùʾ¡£¹ØÓÚº½Ìì·É»úµÄÔ˶¯£¬ÏÂÁÐ˵·¨ÖÐÕýÈ·µÄÓÐ(     )

A£®ÔÚ¹ìµÀ¢òÉϾ­¹ýAµÄËÙ¶ÈСÓÚ¾­¹ýBµÄËÙ¶È
B£®ÔÚ¹ìµÀ¢òÉϾ­¹ýAµÄ¶¯ÄÜСÓÚÔÚ¹ìµÀ¢ñÉϾ­¹ýAµÄ¶¯ÄÜ
C£®ÔÚ¹ìµÀ¢òÉÏÔ˶¯µÄÖÜÆÚСÓÚÔÚ¹ìµÀ¢ñÉÏÔ˶¯µÄÖÜÆÚ
D£®ÔÚ¹ìµÀ¢òÉϾ­¹ýAµÄ¼ÓËÙ¶ÈСÓÚÔÚ¹ìµÀ¢ñÉϾ­¹ýAµÄ¼ÓËÙ¶È

ABC

½âÎöÊÔÌâ·ÖÎö£ºA¡¢¸ù¾Ý¿ªÆÕÀÕµÚ¶þ¶¨ÂÉ¿ÉÖªº½Ìì·É»úÔÚÔ¶µØµãµÄËÙ¶ÈСÓÚÔÚ½üµØµãµÄËÙ¶È£¬AÕýÈ·£®
B¡¢µ±º½Ìì·É»úÔÚ¹ìµÀ¢òÉÏAµã¼ÓËÙ²ÅÄܱä¹ìµ½¢ñÉÏ£¬¹ÊÔÚ¹ìµÀ¢òÉϾ­¹ýAµÄ¶¯ÄÜСÓÚÔÚ¢ñÉϾ­¹ýAµãµÄ¶¯ÄÜ£¬BÕýÈ·£®
C¡¢ÓÉ¿ªÆÕÀÕµÚÈý¶¨ÂÉÖª£¬ÔÚ¹ìµÀ¢òÉÏÔ˶¯µÄÖÜÆÚСÓÚÔÚ¹ìµÀ¢ñÉÏÔ˶¯µÄÖÜÆÚ£¬¹ÊCÕýÈ·£®
D¡¢ÓÉ¿ÉÖª£¬ÔÚ¹ìµÀ¢òÉϾ­¹ýAµÄ¼ÓËÙ¶ÈÓ¦µÈÓÚÔÚ¹ìµÀ¢ñÉϾ­¹ýAµÄ¼ÓËÙ¶È£¬D´íÎó£®¹ÊÑ¡£ÁB£Ã
¿¼µã£º¿¼²éÌìÌåÔ˶¯
µãÆÀ£º±¾ÌâÄѶȽÏС£¬¿ªÆÕÀÕµÚ¶þ¶¨ÂÉ˵Ã÷ÎÀÐÇ´Ó½üµØ¹ìµÀÏòÔ¶µØ¹ìµÀÔ˶¯ËٶȽ«±äС£¬·ñÔòËٶȱä´ó£®×¢Òâ¼ÓËÙ¶ÈÓëÏòÐļÓËٶȵÄÇø±ð£¬¼ÓËٶȵÈÓÚºÏÁ¦ÓëmµÄ±ÈÖµ£¬ÏòÐļÓËٶȵÈÓÚºÏÁ¦ÔÚÖ¸ÏòÔ²ÐÄ·½ÏòµÄ·ÖÁ¦ÓëmµÄ±ÈÖµ£¬Ö»ÓÐÔÚÔÈËÙÔ²ÖÜÔ˶¯¶þÕß²ÅÏàͬ

Á·Ï°²áϵÁдð°¸
Ïà¹ØÌâÄ¿
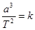
2009Äê10Ô£¬±±¾©º½Ìì·ÉÐпØÖÆÖÐÐÄ¶ÔæÏ¶ðÒ»ºÅÎÀÐÇʵʩÊ״αä¹ì²¢»ñµÃ³É¹¦£¬Ê״αä¹ìÊÇÔÚÔ¶µØµã·¢¶¯»úµã»ðʹÎÀÐǼÓËٵģ®ÎÀÐǵĽüµØµã¸ß¶ÈÓÉÔ¼200¹«Àï̧¸ßµ½ÁËÔ¼600¹«ÀÈçͼÎÀÐÇÕýʽ½øÈëÈÆµØ16Сʱ¹ìµÀ£®½ÓÏÂÀ´ÎÀÐÇÔÚ½üµØµã´¦»¹Òª½èÖú×ÔÉí·¢¶¯»úµÄÍÆ¶¯¾­¹ýÈý´Î±ä¹ìÏȺó½øÈëÈÆµØ24Сʱ¹ìµÀ¡¢ÈƵØ48Сʱ¹ìµÀ£¬×îºó½øÈëµØÔÂ×ªÒÆ¹ìµÀ¾­¹ýÂþ³¤µÄÊ©Ðкó½Ó½üÔÂÇò£¬ÔÚÔÂÇò½üÔµãµÄλÖÃÈÔÒª½èÖú×ÔÉíµÄ·¢¶¯»úµÄ×÷Óã¬Ê¹ÎÀÐǵÄËÙ¶È·¢Éú±ä»¯£¬±»ÔÂÇòÒýÁ¦·ý»ñºóÏȺó½øÈëÈÆÔÂ12Сʱ¹ìµÀ¡¢ÈÆÔÂ3.5Сʱ¹ìµÀ£¬×îÖÕ½øÈëÈÆÔÂ127·ÖÖÓµÄÔ²ÐιìµÀ£¬½øÐÐÔ¼Ò»ÄêµÄÔÂÇò̽Ë÷Ö®Â㮹ØÓÚÎÀÐÇÔÚÈÆµØÓÉ16Сʱ¹ìµÀµ½48Сʱ¹ìµÀ¡¢ÈÆÔÂÓÉ12Сʱ¹ìµÀµ½127·ÖÖÓ¹ìµÀµÄ¹ý³ÌÖÐÏÂÁÐ˵·¨ÕýÈ·µÄÊÇ£¨¡¡¡¡£©
2009Äê10Ô£¬±±¾©º½Ìì·ÉÐпØÖÆÖÐÐÄ¶ÔæÏ¶ðÒ»ºÅÎÀÐÇʵʩÊ״αä¹ì²¢»ñµÃ³É¹¦£¬Ê״αä¹ìÊÇÔÚÔ¶µØµã·¢¶¯»úµã»ðʹÎÀÐǼÓËٵģ®ÎÀÐǵĽüµØµã¸ß¶ÈÓÉÔ¼200¹«Àï̧¸ßµ½ÁËÔ¼600¹«ÀÈçͼÎÀÐÇÕýʽ½øÈëÈÆµØ16Сʱ¹ìµÀ£®½ÓÏÂÀ´ÎÀÐÇÔÚ½üµØµã´¦»¹Òª½èÖú×ÔÉí·¢¶¯»úµÄÍÆ¶¯¾­¹ýÈý´Î±ä¹ìÏȺó½øÈëÈÆµØ24Сʱ¹ìµÀ¡¢ÈƵØ48Сʱ¹ìµÀ£¬×îºó½øÈëµØÔÂ×ªÒÆ¹ìµÀ¾­¹ýÂþ³¤µÄÊ©Ðкó½Ó½üÔÂÇò£¬ÔÚÔÂÇò½üÔµãµÄλÖÃÈÔÒª½èÖú×ÔÉíµÄ·¢¶¯»úµÄ×÷Óã¬Ê¹ÎÀÐǵÄËÙ¶È·¢Éú±ä»¯£¬±»ÔÂÇòÒýÁ¦·ý»ñºóÏȺó½øÈëÈÆÔÂ12Сʱ¹ìµÀ¡¢ÈÆÔÂ3.5Сʱ¹ìµÀ£¬×îÖÕ½øÈëÈÆÔÂ127·ÖÖÓµÄÔ²ÐιìµÀ£¬½øÐÐÔ¼Ò»ÄêµÄÔÂÇò̽Ë÷Ö®Â㮹ØÓÚÎÀÐÇÔÚÈÆµØÓÉ16Сʱ¹ìµÀµ½48Сʱ¹ìµÀ¡¢ÈÆÔÂÓÉ12Сʱ¹ìµÀµ½127·ÖÖÓ¹ìµÀµÄ¹ý³ÌÖÐÏÂÁÐ˵·¨ÕýÈ·µÄÊÇ£¨¡¡¡¡£©
A£®ÎÀÐÇÈÆµØ¡¢ÈÆÔÂÔËÐоùÐèÒªÏòºóÅçÆø¼ÓËÙ£¬²ÅÄܵ½ÏàÓ¦µÄ¹ìµÀ
B£®ÎÀÐÇÈÆµØÔËÐÐÐèÒªÏòºóÅçÆø¼ÓËÙ£¬²ÅÄܵ½ÏàÓ¦µÄ¹ìµÀ
C£®ÎÀÐÇÈÆµØ¡¢ÈÆÔÂÔËÐоùÐèÒªÏòǰÅçÆø¼õËÙ£¬²ÅÄܵ½ÏàÓ¦µÄ¹ìµÀ
D£®ÎÀÐÇÈÆÔÂÔËÐÐÐèÒªÏòǰÅçÆø¼õËÙ£¬²ÅÄܵ½ÏàÓ¦µÄ¹ìµÀ
¾«Ó¢¼Ò½ÌÍø
2009Äê10Ô£¬±±¾©º½Ìì·ÉÐпØÖÆÖÐÐÄ¶ÔæÏ¶ðÒ»ºÅÎÀÐÇʵʩÊ״αä¹ì²¢»ñµÃ³É¹¦£¬Ê״αä¹ìÊÇÔÚÔ¶µØµã·¢¶¯»úµã»ðʹÎÀÐǼÓËٵģ®ÎÀÐǵĽüµØµã¸ß¶ÈÓÉÔ¼200¹«Àï̧¸ßµ½ÁËÔ¼600¹«ÀÈçͼÎÀÐÇÕýʽ½øÈëÈÆµØ16Сʱ¹ìµÀ£®½ÓÏÂÀ´ÎÀÐÇÔÚ½üµØµã´¦»¹Òª½èÖú×ÔÉí·¢¶¯»úµÄÍÆ¶¯¾­¹ýÈý´Î±ä¹ìÏȺó½øÈëÈÆµØ24Сʱ¹ìµÀ¡¢ÈƵØ48Сʱ¹ìµÀ£¬×îºó½øÈëµØÔÂ×ªÒÆ¹ìµÀ¾­¹ýÂþ³¤µÄÊ©Ðкó½Ó½üÔÂÇò£¬ÔÚÔÂÇò½üÔµãµÄλÖÃÈÔÒª½èÖú×ÔÉíµÄ·¢¶¯»úµÄ×÷Óã¬Ê¹ÎÀÐǵÄËÙ¶È·¢Éú±ä»¯£¬±»ÔÂÇòÒýÁ¦·ý»ñºóÏȺó½øÈëÈÆÔÂ12Сʱ¹ìµÀ¡¢ÈÆÔÂ3.5Сʱ¹ìµÀ£¬×îÖÕ½øÈëÈÆÔÂ127·ÖÖÓµÄÔ²ÐιìµÀ£¬½øÐÐÔ¼Ò»ÄêµÄÔÂÇò̽Ë÷Ö®Â㮹ØÓÚÎÀÐÇÔÚÈÆµØÓÉ16Сʱ¹ìµÀµ½48Сʱ¹ìµÀ¡¢ÈÆÔÂÓÉ12Сʱ¹ìµÀµ½127·ÖÖÓ¹ìµÀµÄ¹ý³ÌÖÐÏÂÁÐ˵·¨ÕýÈ·µÄÊÇ£¨ £©

A£®ÎÀÐÇÈÆµØ¡¢ÈÆÔÂÔËÐоùÐèÒªÏòºóÅçÆø¼ÓËÙ£¬²ÅÄܵ½ÏàÓ¦µÄ¹ìµÀ
B£®ÎÀÐÇÈÆµØÔËÐÐÐèÒªÏòºóÅçÆø¼ÓËÙ£¬²ÅÄܵ½ÏàÓ¦µÄ¹ìµÀ
C£®ÎÀÐÇÈÆµØ¡¢ÈÆÔÂÔËÐоùÐèÒªÏòǰÅçÆø¼õËÙ£¬²ÅÄܵ½ÏàÓ¦µÄ¹ìµÀ
D£®ÎÀÐÇÈÆÔÂÔËÐÐÐèÒªÏòǰÅçÆø¼õËÙ£¬²ÅÄܵ½ÏàÓ¦µÄ¹ìµÀ

Î¥·¨ºÍ²»Á¼ÐÅÏ¢¾Ù±¨µç»°£º027-86699610 ¾Ù±¨ÓÊÏ䣺58377363@163.com

¾«Ó¢¼Ò½ÌÍø