题目内容

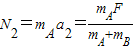
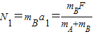
如图所示,置于光滑水平面上的木块A和B,其质量为mA和mB.当水平力F作用于A左端上时,两物体一起作加速运动,其A、B间相互作用力大小为N1;当水平力F作用于B右端上时,两物体一起做加速度运动,其A、B间相互作用力大小为N2.则以下判断中正确的是( )

A.两次物体运动的加速度大小相等
B.N1+N2<F
C.Nl十N2=F
D.N1:N2=mB:mA
【答案】分析:先对整体分析求出加速度的大小,再隔离分析求出A、B间的作用力大小,从而求出作用力之和和作用力的比值.
解答:解:对左图,整体的加速度,隔离对B分析,
对右图,整体的加速度,隔离对A分析,.可知两次物体运动的加速度大小相等.N1+N2=F,N1:N2=mB:mA.故A、C、D正确,B错误.
故选ACD.
点评:本题考查了牛顿第二定律的运用,关键掌握整体法和隔离法的使用,先整体求加速度,再隔离求出相互的作用力.
练习册系列答案
相关题目
(1)在“探究求合力的方法”时,先将橡皮条的一端固定在水平木板上,另一端系上带有绳套的两根细绳.实验时,先后两次拉伸橡皮条,一次是用两个弹簧秤通过两细绳互成角度地拉橡皮条,另一次是用一个弹簧秤通过细绳拉橡皮条.在本实验中,下列说法正确的是
ABC
ABC
 
A.实验过程中,弹簧秤、细绳、橡皮条都应与木板平行    B.两次拉橡皮条时都应将橡皮条沿相同方向拉到相同长度     C.拉橡皮条的细绳要长些,标记同一细绳方向的两点要远些     D.实验中只要把作出的两个力的合力与另一个合力的大小进行比较就可以了
(2)某同学设计了如图所示的装置来探究加速度与力的关系.弹簧秤固定在一合适的木板上,桌面的右边缘固定一支表面光滑的铅笔以代替定滑轮,细绳的两端分别与弹簧秤的挂钩和矿泉水瓶连接.在桌面上画出两条平行线MN、PQ,并测出间距d.开始时将木板置于MN处,现缓慢向瓶中加水,直到木板刚刚开始运动为止,记下弹簧秤的示数F0,以此表示滑动摩擦力的大小.再将木板放回原处并按住,继续向瓶中加水后,记下弹簧秤的示数F1,然后释放木板,并用秒表记下木板运动到PQ处的时间t. ①木板的加速度可以用d、t表示为a=
2d
t2
2d
t2
;为了减小测量加速度的偶然误差可以采用的方法是(一种即可)
保持F1不变,重复实验多次测量,求平均值
保持F1不变,重复实验多次测量,求平均值
. ②改变瓶中水的质量重复实验,确定加速度a与弹簧秤示数F1的关系.下列图象能表示该同学实验结果的是
c
c

③用加水的方法改变拉力的大小与挂钩码的方法相比,它的优点是
cd
cd
.  a.可以改变滑动摩擦力的大小  b.可以获得更大的加速度以提高实验精度
c.可以比较精确地测出摩擦力的大小 d.可以更方便地获取多组实验数据.

违法和不良信息举报电话:027-86699610 举报邮箱:58377363@163.com

精英家教网