题目内容
如图所示,光滑雪坡与水平路面相切于B点,某人乘雪橇从雪坡上A点无初速滑至B点,接着沿水平路面滑至C点停止,设人与雪橇在BC段所受阻力恒定.人与雪橇的总质量为60kg,A、B两处竖直高度差为20m,B、C 距离为30m.(g=10m/s2)求:(1)人与雪橇滑到B处的速度大小;
(2)人与雪橇在BC段所受阻力大小.
【答案】分析:(1)A到B段只有重力做功,机械能守恒,根据机械能守恒定律求出人与雪橇滑到B处的速度大小.
(2)对B到C段运用动能定理,求出阻力的大小.
解答:解:(1)从A到B的过程中,由机械能守恒定律得:
代入数据得vB=20m/s
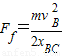
(2)从B到C的过程中,由动能定理得:
人与雪橇在BC段所受阻力
代入数据得Ff=400N
答:(1)人与雪橇滑到B处的速度大小为20m/s.
(2)人与雪橇在BC段所受阻力大小为400N.
点评:运用动能定理解题首先要确定研究对象和研究过程,分析有哪些力做功,然后根据动能定理列式求解.
(2)对B到C段运用动能定理,求出阻力的大小.
解答:解:(1)从A到B的过程中,由机械能守恒定律得:
(2)从B到C的过程中,由动能定理得:
人与雪橇在BC段所受阻力
代入数据得Ff=400N
答:(1)人与雪橇滑到B处的速度大小为20m/s.
(2)人与雪橇在BC段所受阻力大小为400N.
点评:运用动能定理解题首先要确定研究对象和研究过程,分析有哪些力做功,然后根据动能定理列式求解.
练习册系列答案
相关题目