题目内容

如图所示,两根相距为d的足够长的平行金属导轨位于水平xOy平面内,左端接有阻值为R的电阻,其他部分的电阻均不计.在x>0的一侧存在垂直xOy平面且方向竖直向下的稳定磁场,磁感强度大小按Bkx规律变化(其中k是一大于零的常数).一根质量为m的金属杆垂直跨搁在光滑的金属导轨上,两者接触良好.

t=0时直杆位于x=0处,其速度大小为v0,方向沿x轴正方向,在此后的过程中,始终有一个方向向左的变力F作用于金属杆,使金属杆的加速度大小恒为a,加速度方向一直沿x轴的负方向.求:

(1)闭合回路中感应电流持续的时间有多长?

(2)当金属杆沿x轴正方向运动的速度为时,闭合回路的感应电动势多大?此时作用于金属杆的外力F多大?

答案:
解析:

  答案:(1)

  (2)

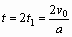
  解析:(1)由题意可知,金属杆在磁场中的运动分为两个阶段:先沿x轴正方向做匀减速运动,直到速度为零;然后x轴负方向做匀加速直线运动,直到离开磁场,其速度一时间图象如图所示.金属杆在磁场中运动切割磁感线,闭合回路产生感应电流,所以回路中感应电流持续的时间

  (2)当金属杆沿x轴正方向运动的速度为时,对应的x坐标x1`满足:解得x1

  则在x1处的磁感强度

  此时回路中的感应电动势,

  

  金属杆所受的安培力大小

  方向沿x轴负方向

  由牛顿第二定律得FFma

  所以,此时作用于金属杆的外力方向沿x轴负方向.


练习册系列答案
相关题目

违法和不良信息举报电话:027-86699610 举报邮箱:58377363@163.com

精英家教网