题目内容
某校物理兴趣小组决定举行遥控赛车比赛.比赛路径如图所示,赛车静止起从起点A出发,沿粗糙水平直线轨道运动L后,由B点进入半径为R的光滑竖直圆轨道,离开竖直圆轨道后继续在光滑平直轨道上运动到C点,并能跃过壕沟.已知赛车质量为m=0.1kg,通电后以额定功率P=1.5W工作,在粗糙水平轨道运动时受到的摩擦阻力恒为Ff=0.25N.图中L=10m、R=0.32m,h=1.25m,s=1.50m,g=10m/s2.求:(1)要使赛车能过圆轨道最高点,赛车经过B点的最小速度vB;
(2)要使赛车能跃过壕沟,赛车经过C点的最小速度vC;
(3)要使赛车能完成比赛,电动机工作的最短时间t.
【答案】分析:本题赛车的运动可以分为三个过程,由A至B的过程可以运用动能定理列式,
在圆轨道上的过程机械能守恒,也可以用动能定理列式,以及平抛运动的过程;
本题有两个约束条件,即要能越过壕沟,同时要能到达轨道的最高点.
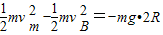
解答:解:(1)为保证过最高点,
最高点速度至少为vm=
运用动能定理研究B点到最高点:

解得
=4m/s
(2)为保证跃过壕沟,根据平抛运动规律:
运动时间:t=
到达C点的速度至少为
=3m/s
(3)要完成比赛,赛车要过最高点也要能跃过壕沟,
所以赛车到达B点的最小速度应为vB=4m/s
则赛车从A到B运用动能定理得:

解得t=2.2s
答:(1)要使赛车能过圆轨道最高点,赛车经过B点的最小速度是4m/s;
(2)要使赛车能跃过壕沟,赛车经过C点的最小速度是3m/s;
(3)要使赛车能完成比赛,电动机工作的最短时间是2.2s.
点评:本题是力电综合问题,关键要将物体的运动分为三个过程,分析清楚各个过程的运动特点和受力特点,然后根据动能定理、平抛运动公式、向心力公式列式求解!
在圆轨道上的过程机械能守恒,也可以用动能定理列式,以及平抛运动的过程;
本题有两个约束条件,即要能越过壕沟,同时要能到达轨道的最高点.
解答:解:(1)为保证过最高点,
最高点速度至少为vm=
运用动能定理研究B点到最高点:
解得
(2)为保证跃过壕沟,根据平抛运动规律:
运动时间:t=
到达C点的速度至少为
(3)要完成比赛,赛车要过最高点也要能跃过壕沟,
所以赛车到达B点的最小速度应为vB=4m/s
则赛车从A到B运用动能定理得:
解得t=2.2s
答:(1)要使赛车能过圆轨道最高点,赛车经过B点的最小速度是4m/s;
(2)要使赛车能跃过壕沟,赛车经过C点的最小速度是3m/s;
(3)要使赛车能完成比赛,电动机工作的最短时间是2.2s.
点评:本题是力电综合问题,关键要将物体的运动分为三个过程,分析清楚各个过程的运动特点和受力特点,然后根据动能定理、平抛运动公式、向心力公式列式求解!
练习册系列答案
相关题目